试题答案

3773考试网成人高考试题答案正文

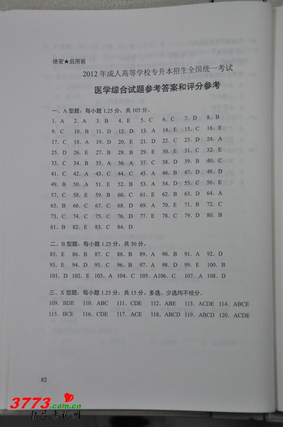
[图文]2012成人高考专升本医学综合试题答案

来源:2exam.com 2012-10-16 11:07:33

2012成人高考专升本医学综合试卷答案

触屏版 电脑版
3773考试网 琼ICP备12003406号-1