湖南教师招聘

3773考试网公务员考试湖南教师招聘正文

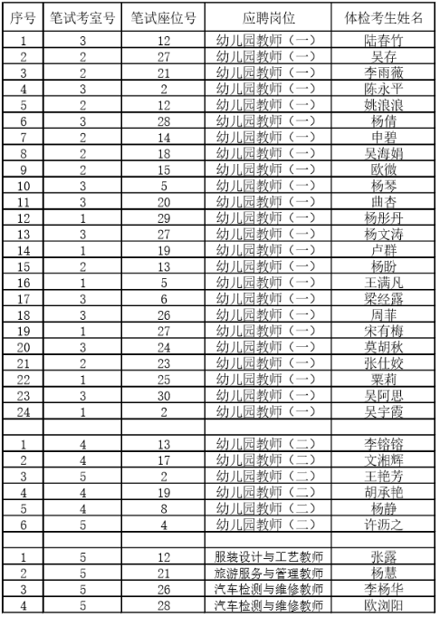
[图文]2015湖南通道县教师招聘体检通知

来源:2exam.com 2015-8-31 22:06:06

2015湖南通道县教师招聘体检通知
根据2015年通道县公开招聘教师考试综合成绩排名,按招聘计划数1:1的比例确定体检人选,下列考生作为体检人选参加体检。请参加体检的考生持本人身份证和准考证于2015年9月1日下午四点钟以前到通道县教育局人事股报到。 特此通知。

原标题:2015年通道县公开招聘教师体检通知

点击下载>>>

2015年通道县公开招聘教师体检考生名单

 

 

 

通道侗族自治县教育局

2015年8月31日

 

触屏版 电脑版
3773考试网 琼ICP备12003406号-1