一、数字推理题型会趋向多元化,难度将有所加强
1.数字推理的题量
广西公务员考试数字推理的试题量与数学运算试题量大致相当,一般在7~8道左右,预计2009年的题量也将维持在这一水平。
2.数字推理的预测分析
广西公务员考试数字推理题难度不,分值较低,预计2009年广西公务员数字推理考试难度将有所加,强重点趋向于考查多级数列、递推数列及其变式。

【例3】8,48,120,224,360,( )。
A.528 B.562 C.626 D.682
【解答】本数列各项可化为:8—1×1×8,48—2×3×8,120一3×5×8,224—4×7×8,360一5×9×8,下一项应为6×11×8—528。故答案为A。
二、数学运算题量保持稳定,题型难易比例更加合理
1.数学运算题量将在10道以内。
2.从总体上说,广西公务员考试数学运算题题量小、难度低,预计未来公考数学运算题难度将有所加大,且难易比例更加科学、合理,有利于筛选人才。
【例4】有一种长方形小纸板,长为19毫米,宽为11毫米。现在用同样大小的这种小纸板拼合成一个正方形,问最少要几块这样的小纸板?( )
A.157块 B.172块 C.209块 D.以上都不对
【解答】本题可转化为:求19与11的最小公倍数,即为19×11—209,则组成正方形的边长为209,从而可得组成正方形的小纸板数为(块)。故答案为C。
【例5】一个容器内有若干克盐水。往容器内加入一些水,溶液的浓度变为3%,再加入同样多的水,溶液的浓度为2%,问第三次再加入同样多的水后,溶液的浓度是多少?( )
A.1.8% B.1.5% C.1% D.0.5%
【解答】设3%时溶液的总量为1,要变为2%的浓度需加水x,据此列方程:

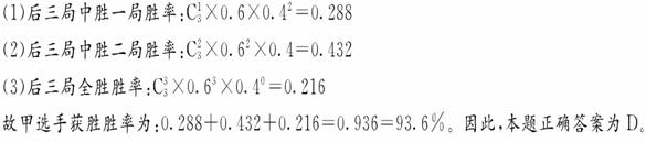
【例6】乒乓球比赛的规则是五局三胜制。甲、乙两球员的胜率分别为60%与40%。在一次比赛中,若甲先连胜了前两局,则甲最后获胜的胜率( )。
A.为60% B.在81%~85%之间 C.在86%~90%之间 D.在91%以上
【解答】本题难度很大,求解过程涉及概率问题,属于大学高等数学知识。具体解题过程:已知甲选手已连胜两局,则后三局中甲无论胜一场,胜二场,还是全胜,最后都可获胜,故甲选手的胜率应为三者之和。甲选手后三局胜率为:

三、常识判断以自治区区情、政治、法律为主,题目难度不大,但涉及知识面广
【例7】下列不属于文化遗产的是( )。
A.布达拉宫 B.承德避暑山庄 C.大同云冈石窟 D.九寨沟风景名胜区
【解答】本题正确答案为D。1992年12月九寨沟根据自然遗产遴选标准被列入《世界遗产名录》,是自然遗产,其他的是文化遗产。
广西公务员考试中常识判断为单项选择题,题量保持在30道左右.每道O.8分。常识判断中政治、自治区区情、行政管理、生物、地理、人文科技等方面将继续出现,考生在复习备考时既须面面俱到,又要抓住重点,如法律、政治。
四、言语理解与表达将采用原有题型,难度将会增大
广西公务员考试中言语理解与表达部分题型是选词填空、语句表达和片段阅读。实践证明,这些题型由于阅读量适中,考查目的明确,备受命题人青睐。预计2009年考试仍将沿用,但整体难度略有上升,题量不会增加。
【例8】我国的人民代表大会制度是实现人民当家做主和保障公民政治( )的主要形式。
A.权力 B.兴趣 C.义务 D.权利
【解答】本题应选D。享有权力的主体是国家机关,强调权威性、支配性。而权利的享有者则是公民,强调的是利益。
五、图形推理题量保持稳定,题型将更加多样化
近两年来广西公务员考试图形推理的题量为10道,从试卷结构分析来看,2009年这一题型的题量将继续保持10道左右。
同时,随着考试难度的不断深化,试题形式的多样化,估计2009年广西公务员录用考试图形推理部分也将引入更多的题型。
【例9】

【解答】本题正确答案为D。考查元素的叠加变换。第一组图中前两个图构成第三个图,且第二个图在上,第一个图在下,其中阴影变换,依此类推,选D。
六、定义判断中法律概念居多,对考生背景知识要求提高
定义判断一直为广西公务员考试采用的题型,题量维持在10道左右,试题考查以法律为主,但考查内容涉及面宽,对考生背景知识的要求也有所提高。
【例10】挑拨防卫,是指故意挑逗他人对自己进行攻击,然后以“正当防卫”为借口对其加以侵害的行为。下列属于挑拨防卫的是( )。
A.某甲与某乙妻子通奸,被乙痛打,遂产生杀人报复之念。甲先到乙门口把乙妻叫出来,乙追出来便打,甲用匕首将乙捅死
B.王、赵二人争吵不休,王说:“你再骂,我就打你!”赵不甘示弱:“你打我试试。”于是二人打了起来
C.兄弟三人争夺一个家传古砚,老大一气之下将其摔碎,老二、老三一起殴打老大,老大奋起反抗
D.一无业人员抢夺别人皮包时被抓住,遭到殴打,于是拼命还手,造成对方伤亡
【解答】挑拨防卫是指故意挑逗他人对自己进行攻击,然后以“正当防卫”为借口对其加以侵害的行为,B、C、D都不存在故意挑逗他人攻击自己的行为,故苓题选A。
【例11】工业产权指法律规定对应用于生产和流通中创造发明和显著标记等智力成果在一定期限和地区内享有占有权。下列属于工业产权的是( )。
A.某国营企业车问、厂房等不动产的所有权
B.某电器生产企业对经多年打拼创下的品牌所享有的权利
C.某化工厂的高新技术研究所的产权
D.某企业近期购买的某国外先进流水线生产设备的所有权
【解答】某电器生产企业的品牌属于显著标记,是工业产权,故本题应选B。
七、演绎推理题中论证推理成为考查重点,难度适中
1.演绎推理题量将继续保持在10道左右
近两年来,演绎推理题目趋向于逻辑学专业,且涉及内容广泛,题型变化丰富,成为考试难点,但这类题也是真正考查考生逻辑思维能力的唯一方式,而以往广西公务员考试这类题型难度偏小,预测2009年难度很有可能会增加。
2.假设型题目可能成为2009年考试重点
【例12】私营部门试图通过提供高薪来吸引有技能的研究科学家,结果大多数受雇于私营部门的研究科学家赚的钱比技能相仿的在政府部门工作的研究科学家多出50%。所以,除非政府雇佣的研究科学家更多地被对公众的职责感而不是被他们的个人利益所驱使,否则政府就有可能使它最有技能的科学家流失到私营部门,因为这些科学家中没有人会在私营部门中找不到工作。
上述论述依赖的假设是( )。
A.与私营部门相比,政府部门的研究科学家的科研贡献难以被承认
B.目前,在政府部门工作的研究科学家中,没有人赚的钱比受雇于私营部门的研究科学家多
C.政府部门雇佣的技能卓越的研究科学家的人数没有私营部门中多
D.政府不给它的研究科学家提供非常好的工作条件或由于低薪水所应获得补偿的额外福利
【解答】本题属于假设前提型题目,题干的结论是政府雇佣的科学家如果没有公众责任感并受个人利益驱使,那么这些科学家可能流失到私营部门。原因是大多数私营部门科学家赚的钱比政府部门多,而需要假设的是政府不给雇佣科学家提供好的工作条件或额外补偿福利,否则,这些科学家就不会流失到私营部门,所以选择D。
八、类比推理将引入国考题型,加大难度
【例13】岩石:矿物:成分
A.森林:树木:木材 B.粘土:沙子:石头 C.器官:组织:功能 D.酒精:饮料:果汁
【解答】本题正确答案为C。一定成分的矿物就是岩石,一定功能的组织叫做器官。
九、事件排序维持现有难度水平
【例14】
(1)暴风雨袭击了这一地区 (2)列车不能正常运行 (3)铁路局重新制订了运行计划
(4)洪水冲毁了几处铁路 (5)预报台风将在这一带登陆
A.1—2—4—5—3 B.5—1—4—2—3 C.5—1—3—4—2 D.5—3—1—4—2
【解答】本题正确答案为B。本题涉及5件事,讲述了从预报台风登陆到暴风雨来临造成铁路冲毁,致使列车不能正常运行,迫使铁路局重新制订运行计划的过程。对照选项,只有B符合此推理,故正确答案为B。
十、资料分析题量变化不会很大,难度不大
近几年广西资料分析为四道大题,分为表格、图形、文字三种类型,预计2009年题量将维持在15~20道左右,但计算量可能增大,整体难度不会提高。
十一、2009年广西《行政职业能力测验》试卷构成预测
