安徽高考

3773考试网2016高考安徽高考正文

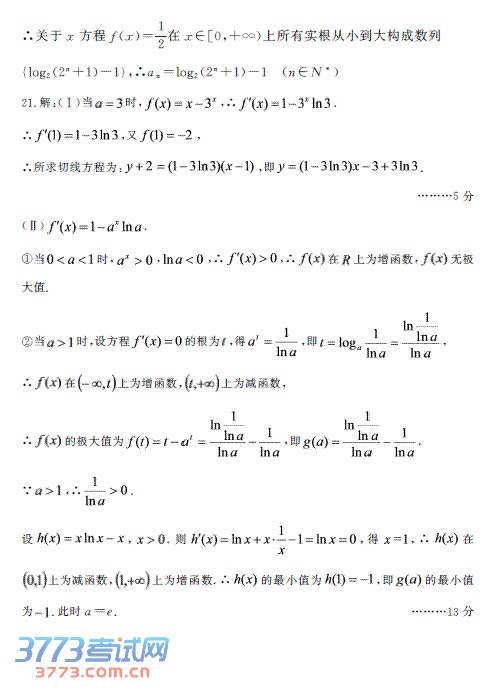
[组图]2014合肥二模数学理科试题答案发布

来源:2exam.com 2014-3-29 18:40:01

2014合肥二模数学理科试题答案发布

2014合肥二模数学理科试题答案发布

2014合肥二模数学理科试题答案发布

2014合肥二模数学理科试题答案发布

上一页  [1] [2] 

触屏版 电脑版
3773考试网 琼ICP备12003406号-1