高三数学(理)试题答案 第1页(共5页)
合肥市2014年高三第三次教学质量检测
数学试题(理)参考答案及评分标准
一、选择题:本大题共10小题,每小题5分,共50分,在每小题给出的四个选项中,只有一项
是符合题目要求的.
题号1 2 3 4 5 6 7 8 9 10
答案B A D B B A A C B D
二、填空题:本大题共5小题,每小题5分,共25分,把答案填在答题卡的相应位置
11. 12.34
或4 13.7 14.240 15.
三、解答题
16.解:(Ⅰ)
所以. ………6分
(Ⅱ) ,
又,所以
,所以的取值范围. ………12分
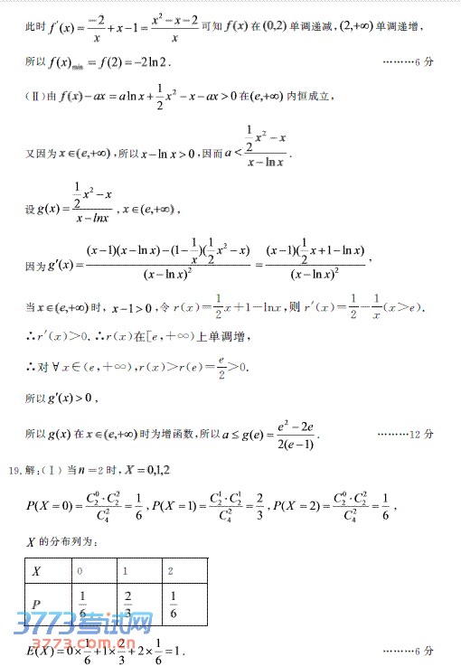
17.解:(Ⅰ)证明:
∵E,F 分别为P′C,P′D 的中点,G 是BC 中点,
∴EF■12
CD ,同理GE■12
P′B
高三数学(理)试题答案 第2页(共5页)
又CD ■AB,∴EF■12
AB.
平面EFG∥平面AB P′. ………6分
(Ⅱ)(综合法)取AD 中点T ,连GT .FT .∴GT ∥CD .又∵EF∥CD .
∴EF∥GT .即E、F、T 、G 共面.∵CD ⊥平面P′AD .
∴EF⊥平面P′AD .∴∠TFD 是二面角G -EF -D 的平面角;易知
∠TFD =45°.
∴二面角G-EF-D 的平面角为45°.
z
B
A D
C
E
P
G
F
y
x
T
(向量法)由已知底面ABCD 是正方形,
又∵ 平面ABCD ,
∴DA ,DC,DP′两两垂直,建立如图空间直角坐标系
D -xyz,则
,
设平面EFG 的法向量为,
取,
易知向量是平面P′CD 的一个法向量, = ,
,∴二面角的平面角为45°.
………12分
18.解:(Ⅰ) ,由得,
高三数学(理)试题答案 第3页(共5页)
此时可知在单调递减, 单调递增,
所以. ………6分
(Ⅱ)由在内恒成立,
又因为,所以,因而.
设, ,
因为,
当时, ,令r(x)=12
x+1-lnx,则r′(x)=12
-1x
(x>e).
∴r′(x)>0.∴r(x)在[e,+∞)上单调增,
∴对∀x∈(e,+∞),r(x)>r(e)=e2
>0.
所以,
所以在时为增函数,所以. ………12分
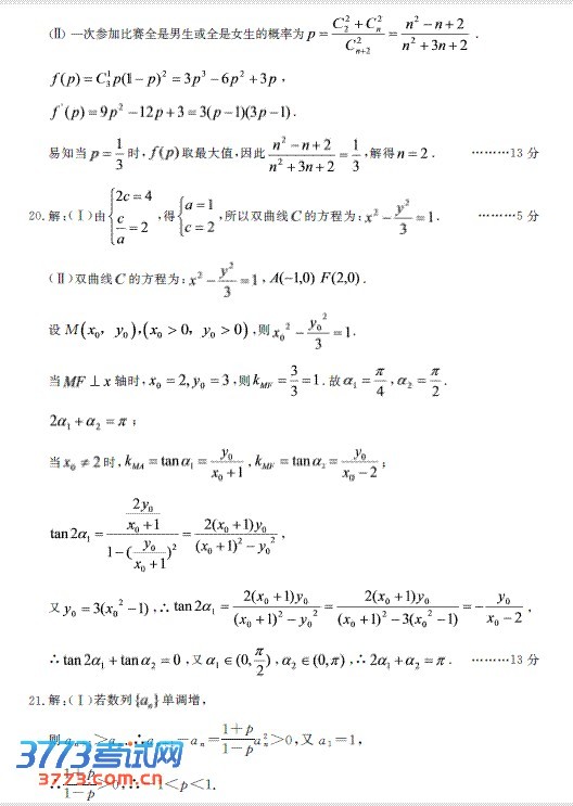
19.解:(Ⅰ)当=2时,
, , ,
的分布列为:
0 1 2
. ………6分
高三数学(理)试题答案 第4页(共5页)
(Ⅱ)一次参加比赛全是男生或全是女生的概率为.
,
.
易知当时, 取最大值,因此,解得. ………13分
20.解:(Ⅰ)由,得,所以双曲线的方程为: . ………5分
(Ⅱ)双曲线的方程为: , .
设M ,则.
当轴时, ,则.故, .
;
当时, , ;
,
又,∴ ,
∴ ,又, ,∴ . ………13分
21.解:(Ⅰ)若数列单调增,
则an+1>an.∴an+1-an=1+p
1-pa2n>0,又a1=1,
∴1+p
1-p>0,∴-1<p<1.
高三数学(理)试题答案 第5页(共5页)
若-1<p<1,则1+p
1-p>0.
∵a1=1,an+1=an+1+p
1-pa2n,
∴an>0(n∈N ∗ ),
an+1-an=1+p
1-pa2n>0,
即an+1>an,
∴{an}为单调增数列.
综上,数列单调增数列的充要条件为. ………6分
(Ⅱ)当时,∴ , ,
由(Ⅰ)知单调递增, ,
又,
(n≥2)而a2-a1=2×50,
,
,
∴ ,
综上所述, . ………13分



