安徽高考

3773考试网2016高考安徽高考正文

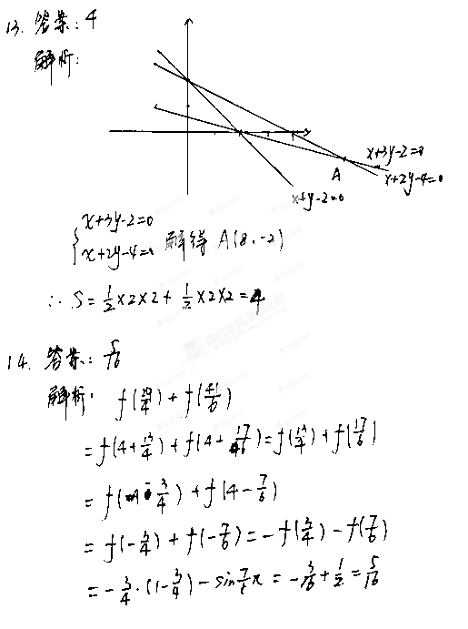
[组图]2014安徽高考数学文科答案及解析

来源:2exam.com 2014-6-8 8:52:14

 

\
\
\

上一页  [1] [2] 

触屏版 电脑版
3773考试网 琼ICP备12003406号-1