安徽高考

3773考试网2016高考安徽高考正文

[组图]2014安徽高考数学理科答案解析(部分)

来源:2exam.com 2014-6-8 14:55:15

2014安徽高考数学理科答案解析(部分) 2014年高考真题——理科数学(安徽卷)部分试题解析版(仅供参考) 2014年高考真题——理科数学(安徽卷)部分试题解析版(仅供参考)

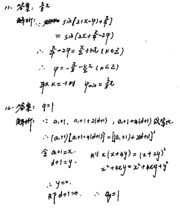
2014年高考真题——理科数学(安徽卷)部分试题解析版(仅供参考)

2014年高考真题——理科数学(安徽卷)部分试题解析版(仅供参考)



2014年高考真题——理科数学(安徽卷)部分试题解析版(仅供参考)

2014年高考真题——理科数学(安徽卷)部分试题解析版(仅供参考)

触屏版 电脑版
3773考试网 琼ICP备12003406号-1