安徽高考

3773考试网2016高考安徽高考正文

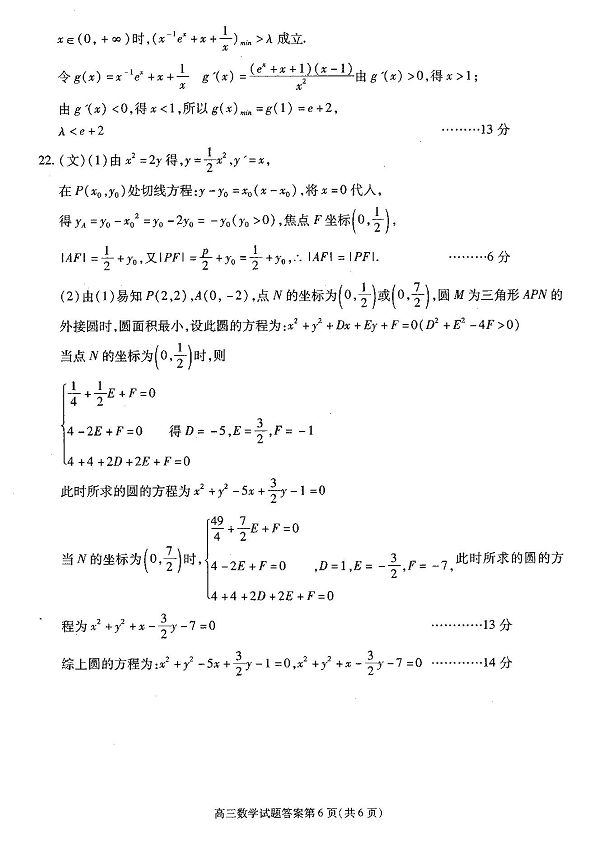
[组图]2009年合肥市三模数学试题答案及评分标准

来源:fjzsksw.com 2009-4-26 15:13:07



[安徽高考][组图]2009年合肥市三模理综试卷及答案 04-26
[安徽高考][组图]2009年合肥市三模文综试卷及答案 04-26
[安徽高考]合肥市2009年三模考试分数线查询时间4月30日 04-26
[安徽高考]2009年合肥市三模试卷题及答案汇总 04-26
[安徽高考][组图]2009年合肥市三模语文试卷题及答案 04-26
[安徽高考][组图]2009年合肥市三模数学理科试题及答案 04-26
[安徽高考][组图]2009年合肥市三模数学文科试卷及答案


上一页  [1] [2] [3] [4] [5] [6] 

触屏版 电脑版
3773考试网 琼ICP备12003406号-1