安徽高考

3773考试网2016高考安徽高考正文

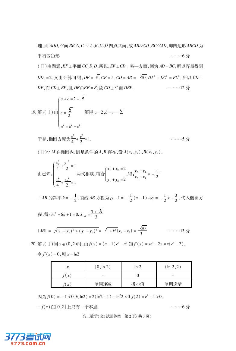
[组图]2013合肥高考三模数学文科试题答案

来源:2exam.com 2013-5-18 20:48:05

2013合肥高考三模数学文科试题答案2013合肥高考三模数学文科试题答案

2013合肥高考三模数学文科试题答案

[1] [2] 下一页

触屏版 电脑版
3773考试网 琼ICP备12003406号-1