北京高考

3773考试网2016高考北京高考正文

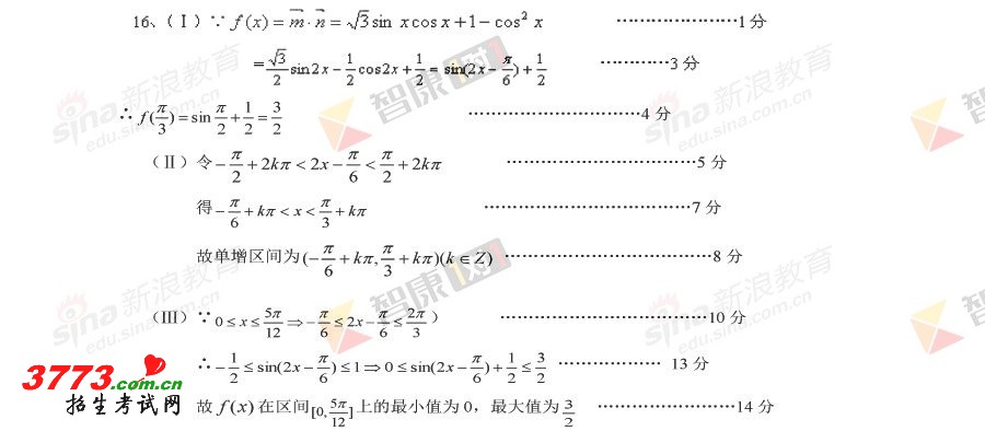
[组图]北京六十六中2012高三上学期期中考试文科数学试题答案

来源:2exam.com 2012-11-5 12:40:34



【正确答案】


【答题区域】



【正确答案】


【答题区域】


【正确答案】
北京六十六中2012高三上学期期中考试文科数学试题答案

【答题区域】


【正确答案】


【答题区域】

触屏版 电脑版
3773考试网 琼ICP备12003406号-1