北京高考

3773考试网2016高考北京高考正文

[组图]北京三十一中2012高三上学期期中考试理科数学试题答案

来源:2exam.com 2012-11-5 12:43:48



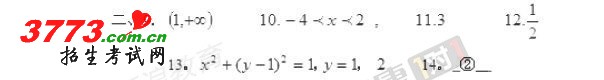
【正确答案】


【答题区域】


【正确答案】


【答题区域】


【正确答案】


【答题区域】

[1] [2] 下一页

触屏版 电脑版
3773考试网 琼ICP备12003406号-1