高考试题答案

3773考试网2016高考高考试题答案正文

[组图]2008年高考数学试题最有可能考到的20题及答案

来源:全品高考网 2008-5-27 13:51:20

 

 

注意:本试题仅为模拟试题所用,未高考前请不要听信所谓高考答案等诈骗信息。
各地高考情况不同,大家仅作为练习题使用即可,不可作为压题!!!!
 试题来自网络不代表本网立场!

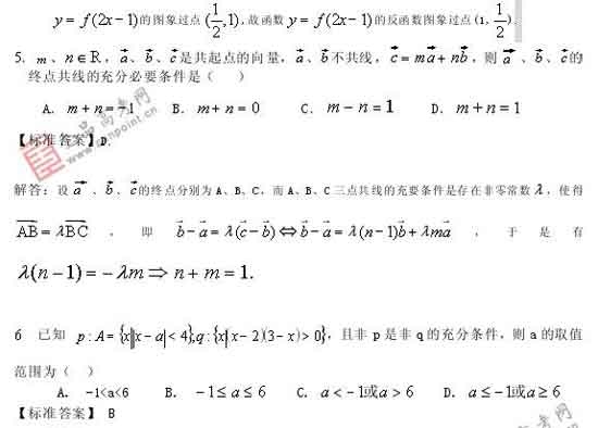
2008年高考最有可能考到的20题(数学)

2008年高考最有可能考到的20题(数学)

2008年高考最有可能考到的20题(数学)

2008年高考最有可能考到的20题(数学)

2008年高考最有可能考到的20题(数学)(2)

2008年高考最有可能考到的20题(数学)(2)

2008年高考最有可能考到的20题(数学)(2)

2008年高考最有可能考到的20题(数学)(2)

2008年高考最有可能考到的20题(数学)(3)

2008年高考最有可能考到的20题(数学)(3)

2008年高考最有可能考到的20题(数学)(3)

2008年高考最有可能考到的20题(数学)(3)

2008年高考最有可能考到的20题(数学)(4)

2008年高考最有可能考到的20题(数学)(4)

2008年高考最有可能考到的20题(数学)(4)

2008年高考最有可能考到的20题(数学)(4)

2008年高考最有可能考到的20题(数学)(5)

2008年高考最有可能考到的20题(数学)(5)

2008年高考最有可能考到的20题(数学)(5)

2008年高考最有可能考到的20题(数学)(5)

触屏版 电脑版
3773考试网 琼ICP备12003406号-1