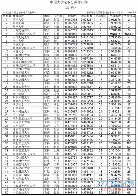
华东师范大学社会调查中心最近发布了《中国大学录取分数排行榜(2014年版)》,清华大学、北京大学、复旦大学蝉联排行榜前三。其中,云南省高校仅云南大学上榜,总排名位居全国第129位,其中理科排名136位,文科排名104位。
本次排名是基于2005~2013年中国各高校在全国30个省、直辖市与自治区第一批录取的文理科平均分和文理科录取的人数计算再汇总的。由于国内独立招生录取的地区比较多,考试科目和计分方法不尽相同,参加录取的高校在不同地区不同的年份也不尽相同,因此原始分数的可比性差。
该榜单分总指数、理科指数与文科指数三个指标。文理科指数分别是以多个文理科招生单元为单位,计算出来的值的加权平均数。而总指数,是文科指数与理科指数的加权平均数。值得一提的是,大学录取分数的高低与学校所在地也高度关联,像地处直辖市与沿海地区的院校就更受追捧。其中,北京、上海、天津、江苏与广东分列前5位。
课题组提醒,目前国内大学评价体系指标主观性很大,争议也很多,这个排行榜可以是考生和家长关于“录取行情”的客观参考,但并不反映各所学校综合实力的强弱。
中国大学录取分数排行榜(2014版前200):



