广东高考

3773考试网2016高考广东高考正文

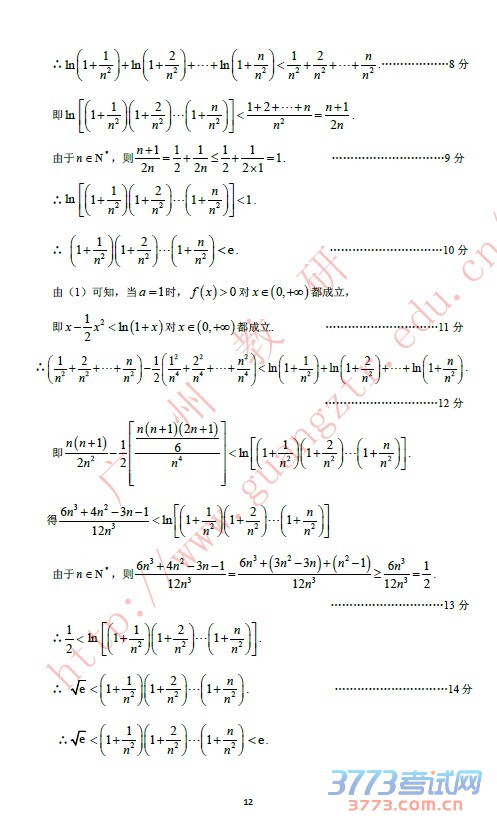
[组图]2015广州一模数学理科试题及答案公布

来源:2exam.com 2015-3-19 21:06:24

2015广州一模数学理科试题及答案公布

 

2015广州一模数学理科试题及答案公布





2015广州一模数学理科试题及答案公布





2015广州一模数学理科试题及答案公布





2015广州一模数学理科试题及答案公布

2015广州一模数学理科试题及答案公布



触屏版 电脑版
3773考试网 琼ICP备12003406号-1