贵州高考

3773考试网2016高考贵州高考正文

[组图]2014贵州高考贫困专项计划理科投档分数线(7月12日)

来源:2exam.com 2014-7-13 10:03:37

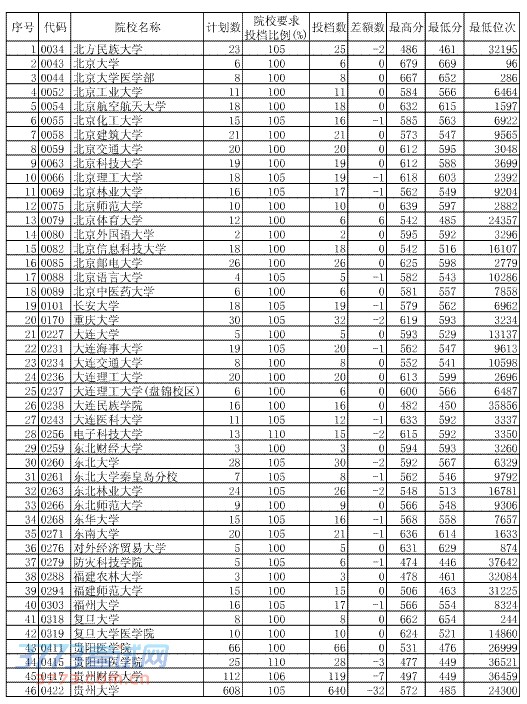
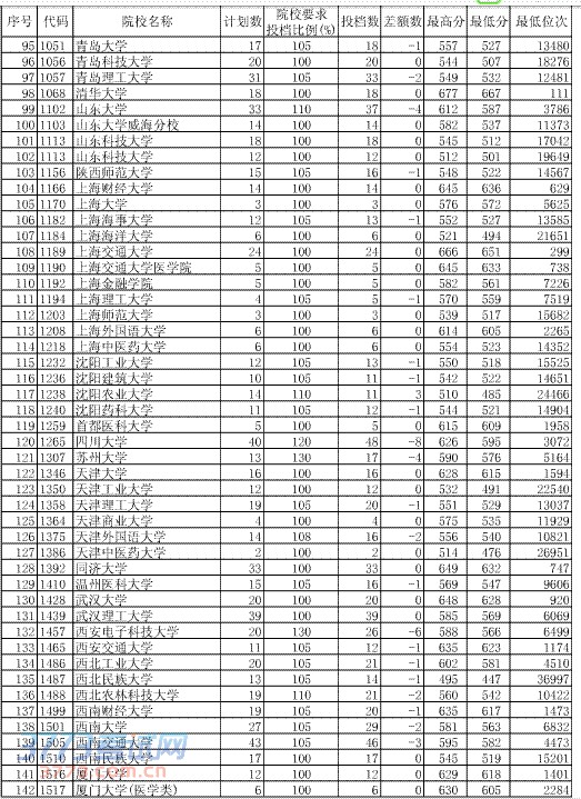
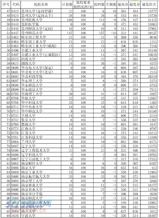
贵州省2014年高考贫困专项计划理工类平行志愿投档情况(7月12日)

贵州省2014年高考贫困专项计划理工类平行志愿投档情况(7月12日)

贵州省2014年高考贫困专项计划理工类平行志愿投档情况(7月12日)

贵州省2014年高考贫困专项计划理工类平行志愿投档情况(7月12日)

贵州省2014年高考贫困专项计划理工类平行志愿投档情况(7月12日)

触屏版 电脑版
3773考试网 琼ICP备12003406号-1