贵州高考

3773考试网2016高考贵州高考正文

[组图]2014年7月19日贵州一本院校预科投档分数线情况

来源:贵州省招生考试院 2014-7-20 9:01:52

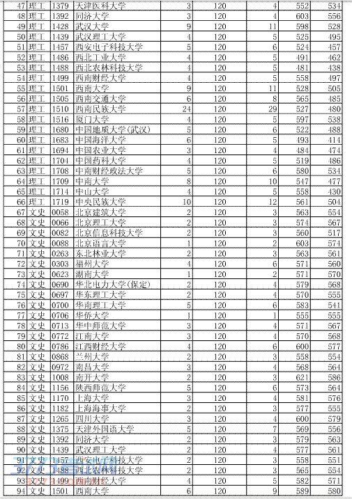
贵州省2014年高考第一批本科预科投档情况(7月19日)

贵州省2014年高考第一批本科预科投档情况(7月19日)

贵州省2014年高考第一批本科预科投档情况(7月19日)

贵州省2014年高考第一批本科预科投档情况(7月19日)

触屏版 电脑版
3773考试网 琼ICP备12003406号-1