贵州高考

3773考试网2016高考贵州高考正文

[组图]2014贵州高考专科理科第2次征集志愿投档分数线

来源:贵州省招生考试院 2014-8-17 9:24:39

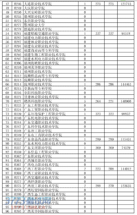
贵州省2014年普通高校招生高职(专科)理工第2次征集志愿投档情况

贵州省2014年普通高校招生高职(专科)理工第2次征集志愿投档情况

贵州省2014年普通高校招生高职(专科)理工第2次征集志愿投档情况

贵州省2014年普通高校招生高职(专科)理工第2次征集志愿投档情况



贵州省2014年普通高校招生高职(专科)理工第2次征集志愿投档情况

贵州省2014年普通高校招生高职(专科)理工第2次征集志愿投档情况



贵州省2014年普通高校招生高职(专科)理工第2次征集志愿投档情况

贵州省2014年普通高校招生高职(专科)理工第2次征集志愿投档情况

贵州省2014年普通高校招生高职(专科)理工第2次征集志愿投档情况

贵州省2014年普通高校招生高职(专科)理工第2次征集志愿投档情况 

触屏版 电脑版
3773考试网 琼ICP备12003406号-1