贵州高考

3773考试网2016高考贵州高考正文

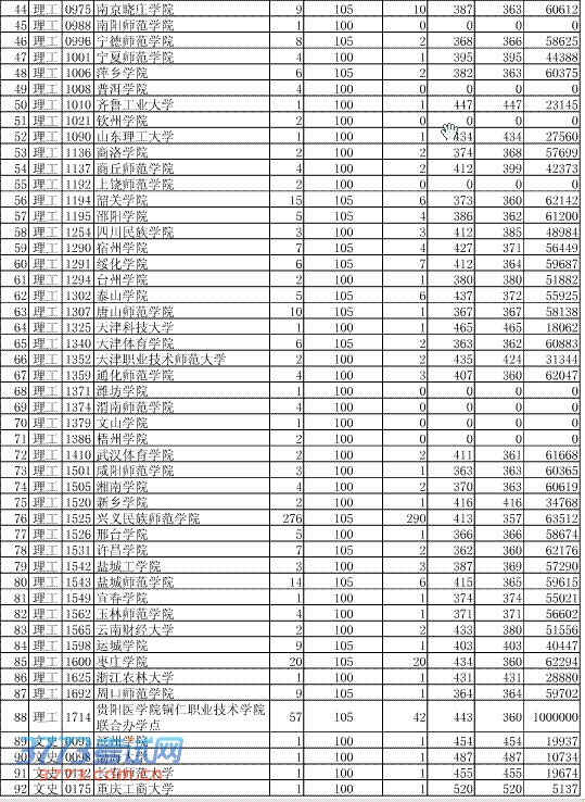
[组图]2013贵州高考二本第二次补录投档分数线(7月27日)

来源:省招生考试院 2013-7-27 21:26:29

 

贵州省2013年高考第二批本科第二次补报志愿平行志愿投档情况(7月27日)
 

 

贵州省2013年高考第二批本科第二次补报志愿平行志愿投档情况(7月27日

贵州省2013年高考第二批本科第二次补报志愿平行志愿投档情况(7月27日

贵州省2013年高考第二批本科第二次补报志愿平行志愿投档情况(7月27日

触屏版 电脑版
3773考试网 琼ICP备12003406号-1