贵州高考

3773考试网2016高考贵州高考正文

[组图]2013贵州高考三本理科院校补录投档分数线

来源:贵州招生考试院 2013-8-6 21:55:42

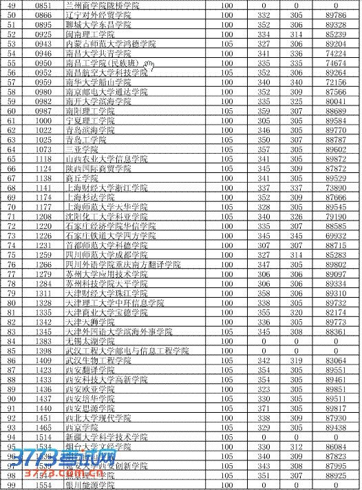
贵州省2013年高考第三批本科院校理工类补报志愿平行投档情况(8月6日)

 

贵州省2013年高考第三批本科院校理工类补报志愿平行投档情况(8月6日)

贵州省2013年高考第三批本科院校理工类补报志愿平行投档情况(8月6日)

贵州省2013年高考第三批本科院校理工类补报志愿平行投档情况(8月6日)

触屏版 电脑版
3773考试网 琼ICP备12003406号-1