贵州高考

3773考试网2016高考贵州高考正文

[组图]2013年8月11日贵州专科院校投档分数线(文科)

来源:贵州省招生考试院 2013-8-11 13:35:16



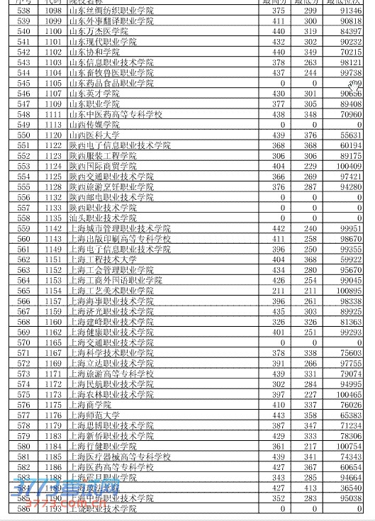
贵州省2013年高考高职(专科)文史类平行志愿投档情况(8月11日)

贵州省2013年高考高职(专科)文史类平行志愿投档情况(8月11日)

贵州省2013年高考高职(专科)文史类平行志愿投档情况(8月11日)

上一页  [1] [2] [3] [4] [5] [6] 下一页

触屏版 电脑版
3773考试网 琼ICP备12003406号-1