河北高考

3773考试网2016高考河北高考正文

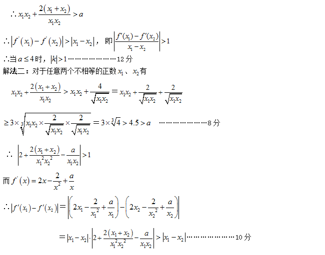
[组图]2015石家庄一模数学试题答案

来源:3773高考 2015-4-8 20:14:30

2015年石家庄一模数学答案 2015石家庄一模数学试题答案















触屏版 电脑版
3773考试网 琼ICP备12003406号-1