河北高考

3773考试网2016高考河北高考正文

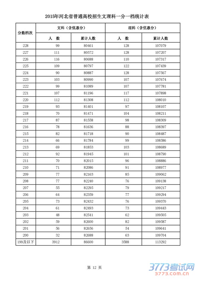
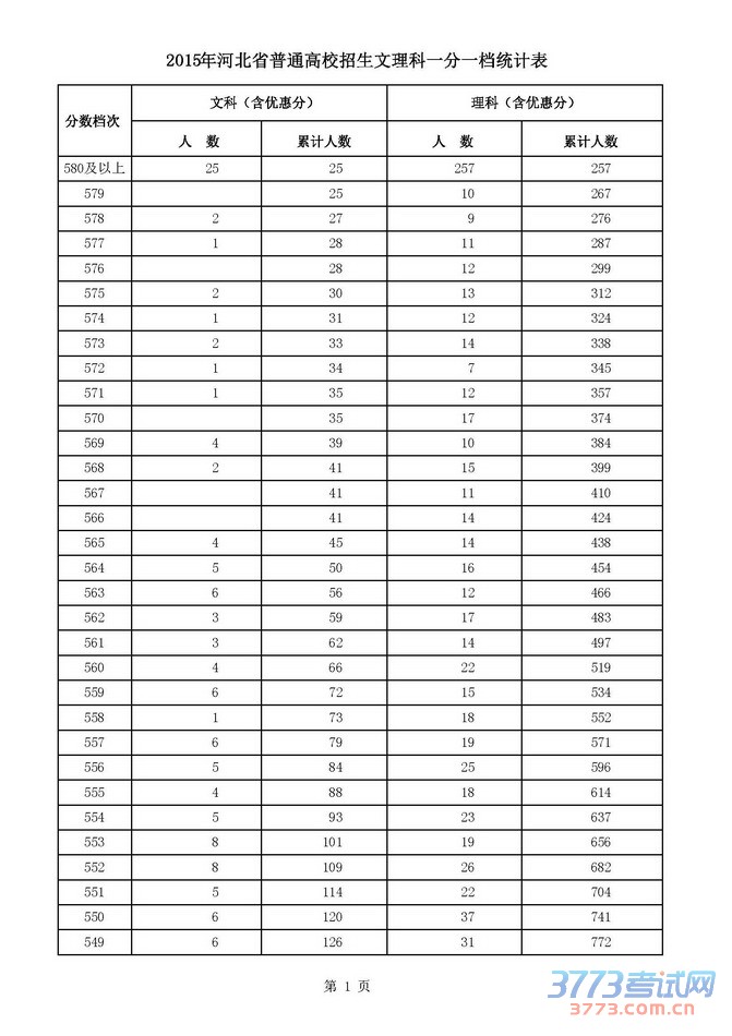
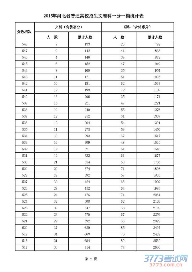
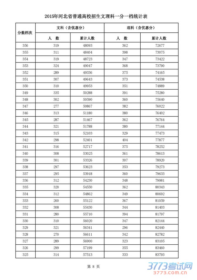
[组图]2015河北高考文理科一分一档统计表

来源:燕赵都市网 2015-7-28 9:22:08

截止到25日17时,本科二批一志愿共录取考生53417人,其中文史类录取14786人,理工类38631人。26日12时至28日9时,将进行本二征集志愿和本三一志愿填报。

  (截止到本科二批一志愿录取结束后生源情况统计)

  

触屏版 电脑版
3773考试网 琼ICP备12003406号-1