湖北高考

3773考试网2016高考湖北高考正文

[组图]2014黄冈四月质检数学理科答案发布

来源:2exam.com 2014-4-23 18:21:53

 

 2014黄冈四月质检考试是对高三考生一次重要的诊断性摸底考试,旨在了解学生目前所具有的实际水平。

  本次考试是2014年高考前非常重要的一次模拟考试,它结合了2014年高考大纲的最新规定的内容与要求,请广大考生引起重视。

  推荐阅读:2014黄冈四月质检各科试题及答案汇总

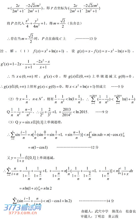
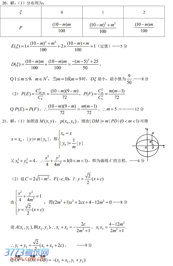
2014黄冈四月质检理科数学试题及答案

2014黄冈四月质检理科数学试题及答案

上一页  [1] [2] 

触屏版 电脑版
3773考试网 琼ICP备12003406号-1