湖北高考

3773考试网2016高考湖北高考正文

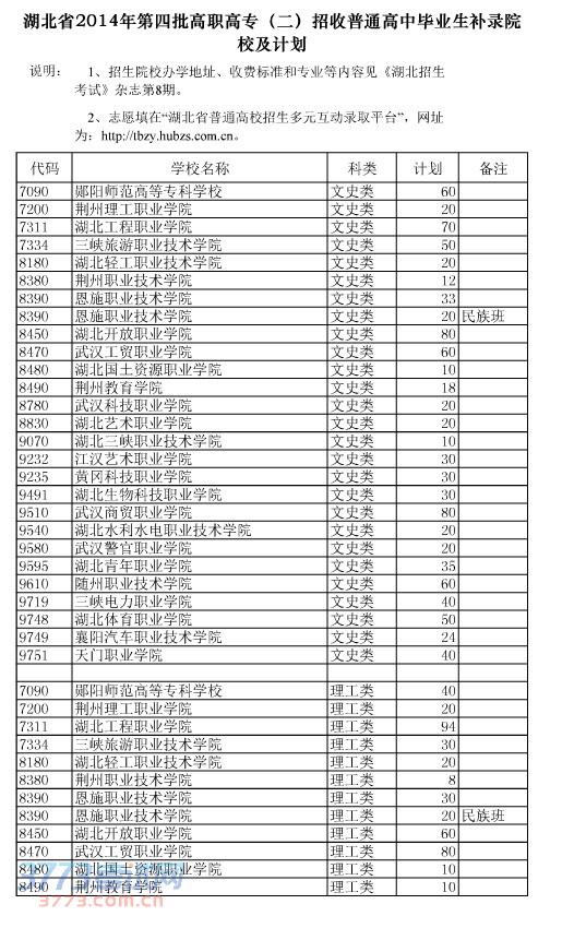
[组图]2014湖北专科二招收普通高中生补录院校及计划

来源:2exam.com 2014-9-26 17:28:36

湖北省2014年第四批高职高专(二)招收普通高中毕业生补录院校及计划



湖北省2014年第四批高职高专(二)招收普通高中毕业生补录院校及计划

触屏版 电脑版
3773考试网 琼ICP备12003406号-1