湖北高考

3773考试网2016高考湖北高考正文

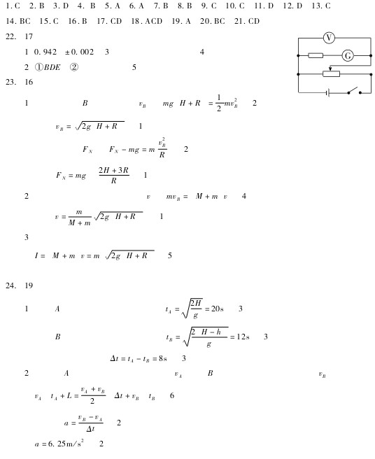
[组图]2009孝感市二统试题答案理科综合

来源:孝感市教育局 2009-3-15 14:11:10











触屏版 电脑版
3773考试网 琼ICP备12003406号-1