湖北高考

3773考试网2016高考湖北高考正文

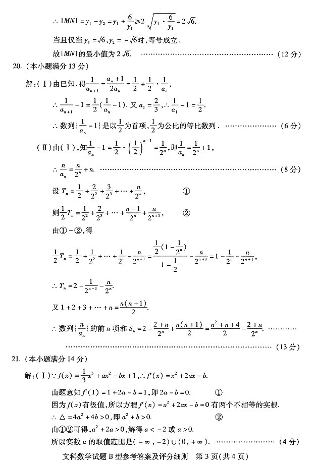
[组图]2011湖北武汉四月调考文科数学试题及答案(B卷)

来源:中国教育在线 2011-4-15 9:57:32








上一页  [1] [2] [3] [4] [5] 下一页

触屏版 电脑版
3773考试网 琼ICP备12003406号-1