江西高考

3773考试网2016高考江西高考正文

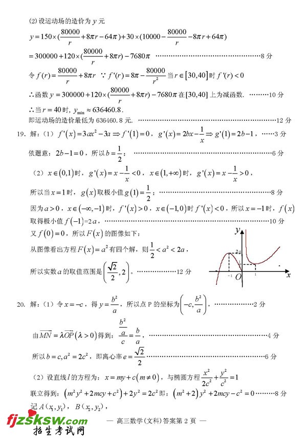
[组图]2011南昌高三调研数学文科答案评分标准

来源:fjzsksw.com 2011-1-25 9:39:34


点击放大

上一页  [1] [2] [3] 下一页

触屏版 电脑版
3773考试网 琼ICP备12003406号-1