山东高考

3773考试网2016高考山东高考正文

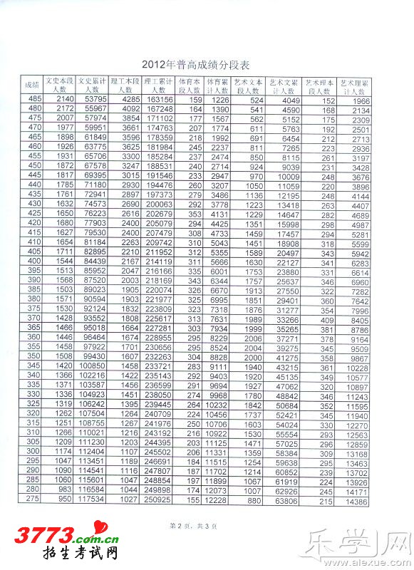
[组图]2012年山东省高考成绩五分一段表

来源:2exam.com 2012-6-24 19:00:00

2012年山东省高考成绩五分一段表:

 

触屏版 电脑版
3773考试网 琼ICP备12003406号-1