四川高考

3773考试网2016高考四川高考正文

[组图]2014绵阳三诊数学文科答案及评分标准

来源:2exam.com 2014-4-22 19:27:54

2014绵阳三诊考试是绵阳市对高三考生一次重要的诊断性摸底考试,旨在了解学生目前所具有的实际水平。

  本次考试是2014年高考前非常重要的一次模拟考试,它结合了2014年高考大纲的最新规定的内容与要求,请广大考生引起重视。

 

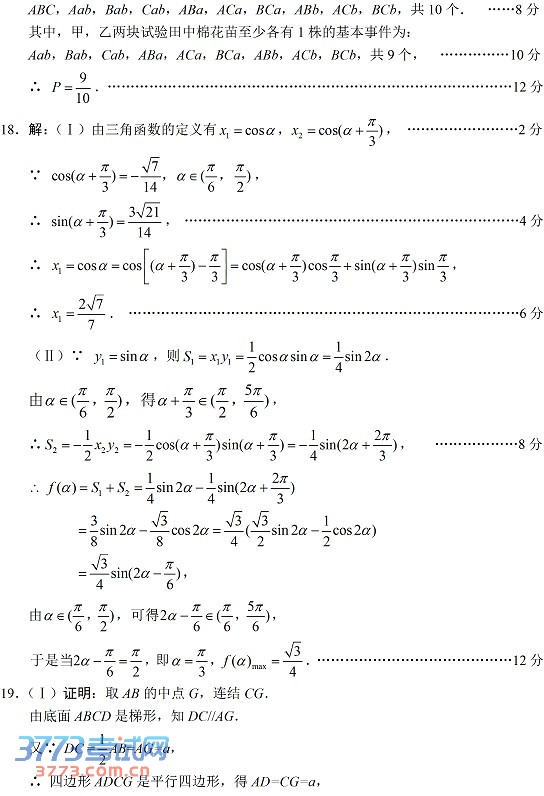
2014绵阳三诊数学试题及答案

2014绵阳三诊数学试题及答案

2014绵阳三诊数学试题及答案

[1] [2] 下一页

触屏版 电脑版
3773考试网 琼ICP备12003406号-1