河北省“名校联盟”2015届高三教学质量监测(一)物理试卷
(满分:110分,测试时间:90分钟)
第Ⅰ卷(选择题,共48分)
一、选择题(本题共12小题,每小题4分,共48分。在每小题给出的四个选项中,第1-9题只有一项符合题目要求,第10-12题有多项符合题目要求。全部选对的得4分,选对但不全的得2分,有选错的得0分)
1.两物体甲和乙在同一直线上运动,它们在0~0.4s时间内的v-t图象如图所示。若仅在两物体之间存在相互作用,则物体甲与乙的质量之比和图中时间t1分别为( )
2.如图所示是单杠运动员做“单臂大回环”的动作简图,质量为60 kg的体操运动员,用一只手抓住单杠,伸展身体,以单杠为轴做圆周运动,此过程中,运动员在最低点时手臂受到的拉力至少为(忽略空气阻力,取g=10 m/s2)( )
A.600 N B.2 400 N C.3 000 N D.3 600 N
3.物体A放在物体B上,物体B放在光滑的水平面上,已知kg,kg,A、B间动摩擦因数,如图所示。现用一水平向右的拉力F作用于物体A上,则下列说法中正确的是( ) (m/s2)
A.当拉力F<12N时,A静止不动
B.当拉力F=16N时,A对B的摩擦力等于4N
C.当拉力F>16N时,A一定相对B滑动
D.无论拉力F多大,A相对B始终静止
4.一个人造地球卫星绕地球做匀速圆周运动,假如该卫星变轨后仍做匀速圆周运动,动能减小为原来的1/4,不考虑卫星质量的变化,则变轨前后卫星的( )
A.向心加速度大小之比为4:1
B.角速度大小之比为2:1
C.周期之比为1:8
D. 轨道半径之比为1:2
5.一质量为M、倾角θ为的斜面体在水平地面上,质量为m的小木块(可视为质点)放在斜面上,现用一平行于斜面的、大小恒定的拉力F作用于小木块,拉力在斜面所在的平面内绕小木块旋转一周的过程中,斜面体和木块始终保持静止状态,下列说法中正确的是( )
6. 已知货物的质量为m,在某段时间内起重机将货物以a的加速度加速升高h,则在这段时间内叙述正确的是(重力加速度为g)( )
A. 货物的机械能一定增加mah+mgh B.货物的机械能一定增加mah
C.货物的重力势能一定增加mah D. 货物的动能一定增加mah-mgh
7.自动充电式电动车的前轮装有发电机,发电机与蓄电池连接。当骑车者用力蹬车或电动自行车自动滑行时,自行车就可以带动发电机向蓄电池充电,将其它形式的能转化成电能储存起来。假设某人骑车以1 000 J的初动能在粗糙的水平路面上滑行,第一次关闭自动充电装置,让车自由滑行,其动能随位移变化关系如图线①所示;第二次启动自动充电装置,其动能随位移变化关系如图线②所示,则第二次向蓄电池所充的电能是( )
A.500 J B.400 J C.300 J D.200 J
8. 如图甲是阻值为5Ω的线圈与阻值为105Ω的电阻R构成的回路。线圈在匀强磁场中绕垂直于磁场方向的轴匀速转动,产生的电动势随时间变化的规律如图乙所示。则 ( )
A.电阻R上消耗的功率为400W
B.电阻两端电压为220V
C.电流表的示数为2A
D.通过电阻的电流方向每秒变化50次
9.U型金属导轨构成如图所示斜面,斜面倾斜角为,其中MN,PQ间距为L,磁感应强度为B的匀强磁场垂直导轨平面,导轨电阻不计,金属棒质量为m,以速度v沿导轨上滑,并与两导轨始终保持垂直且接触良好,导轨与棒间的动摩擦因数为μ,棒接入电路的电阻为R,棒沿导轨上滑位移为时速度减为0,(重力加速度为)则在这一过程中( )
A.棒沿导轨向上做匀减速运动
B.棒受到的最大安培力大小为
C.导体棒动能的减少量等于
D.克服安培力做的功等于
10.两倾斜的滑杆上分别套A、B两圆环,两环上分别用细线悬吊着两物体, 如图所示。当它们都沿滑杆向下滑动时,A的悬线与杆垂直,B的悬线竖直向下,则( )
A.A环与杆无摩擦力 B.B环与杆无摩擦力
C.A环做的是匀速运动 D.B环做的是匀速运动
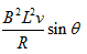
11.一带正电的检验电荷,仅在电场力作用下沿X轴从
运动,其速度随位置变化的图象如图所示.和处,图线切线的斜率绝对值相等且最大.则在轴上( )

第Ⅱ卷(非选择题,共62分)
二、填空实验题(本题共2小题,共16分)
13.(6分)某实验小组应用如图甲所示装置“探究加速度与物体受力的关系”,已知小车的质量为M,砝码及砝码盘的总质量为m,所使用的打点计时器所接的交流电的频率为50 Hz.实验步骤如下:
A.按图甲所示,安装好实验装置,其中与定滑轮及弹簧测力计相连的细线竖直;:
B.调节长木板的倾角,轻推小车后,使小车能沿长木板向下匀速运动;
C.挂上砝码盘,接通电源后,再放开小车,打出一条纸带,由纸带求出小车的加速度;
D.改变砝码盘中砝码的质量,重复步骤C,求得小车在不同合力作用下的加速度.
根据以上实验过程,回答以下问题:
(1)对于上述实验,下列说法正确的是 .
A.小车的加速度与砝码盘的加速度大小相等
B. 弹簧测力计的读数为小车所受合外力
C.实验过程中砝码处于超重状态
D.砝码和砝码盘的总质量应远小于小车的质量
(2)实验中打出的一条纸带如图乙所示,由该纸带可求得小车的加速度为 m/s2.(结果保留2位有效数字)

(3)由本实验得到的数据作出小车的加速度a与弹簧测力计的示数F的关系图像(见上
图),与本实验相符合是____________.
14.(10分)在测定一节干电池的电动势和内电阻的实验中,备有下列器材:
A.电流表A1 (量程3mA,内阻Rg=10Ω)
B.电流表A2(量程0~0.6A,内阻约为0.1Ω)
C.滑动变阻器R1(0~20Ω,10A)
D.滑动变阻器R2(0~1750Ω,lA)
E.定值电阻R3=990Ω
F.被测干电池E(电动势约为1.5 V,内电阻小于1Ω)
G.开关、导线若干
①请在下面方框内画出实验电路图(用所给器材符号表示).
②现已将测得的数据描绘在如图所示的坐标系中,则被测电池的电动势E=__________V,内阻r=__________(小数点后保留两位数字) .
三、计算题(本题共4小题,共46分。18题、19题是选考题,任选一题。解答时,请写出必要的文字说明、方程式和重要的演算步骤,只写最后答案的不能得分,有数值计算的题,答案中必须明确写出数值的单位)
15.(8分) A、B两辆汽车在笔直的公路上同向行驶,当B车在A车前84 m处时,B车速度为4 m/s,且正以2 m/s2的加速度做匀加速运动;经过一段时间后,B车加速度突然变为零.A车一直以20 m/s的速度做匀速运动,经过12 s后两车相遇,问B车加速行驶的时间为多少?
16.(11分)航模兴趣小组设计出一架遥控飞行器,其质量m =2㎏,动力系统提供的恒定升力F =28 N。试飞时,飞行器从地面由静止开始竖直上升。设飞行器飞行时所受的阻力大小不变,g取10m/s2。
(1)第一次试飞,飞行器飞行t1 = 8 s 时到达高度H = 64 m。求飞行器所阻力f的大小;
(2)第二次试飞,飞行器飞行t2 = 6 s 时遥控器出现故障,飞行器立即失去升力。求飞行器能达到的最大宽度h;
(3)为了使飞行器不致坠落到地面,求飞行器从开始下落到恢复升力的最长时间t3 。
17. (12分)如图,在直角坐标系的第Ⅰ象限和第象Ⅲ限存在着电场强度均为E的匀强电场,其中第Ⅰ象限电场沿x轴正方向,第Ⅲ象限电场沿y轴负方向.在第Ⅱ象限和第Ⅳ象限存在着磁感应强度均为B的匀强磁场,磁场方向均垂直纸面向里.有一个电子从y轴的P点以垂直于y轴的初速度v0进入第Ⅲ象限,第一次到达x轴上时速度方向与x轴负方向夹角为45°,第一次进入第Ⅰ象限时,与y轴夹角也是45°,经过一段时间电子又回到了P点,进行周期性运动.已知电子的电荷量为e,质量为m,不考虑重力和空气阻力.求:
(1)P点距原点O的距离;
(2)电子从P点出发到第一次回到P点所用的时间.
18.(选修模块3—4)(15分)
(1)(本题6分)以下说法正确的是( )
A.狭义相对论两个基本假设之一是在不同惯性参考系中,一切物理定律都是相同的
B.拍摄玻璃橱窗内的物品时,往往在镜头前加一个偏振片以减弱反射光的强度
C.如果质点所受合外力总是指向平衡位置,质点的运动就是简谐运动
D.在波的干涉中,振动加强的点一定处在波峰或波谷的叠加处
(2)(本题9分)光纤通信是一种现代化的通讯工具,为了研究问题的方便,我们将光导纤维简化为一根长直的玻璃管,如图所示为玻璃管沿轴线的横截面,若光从左端以与端面成300入射,玻璃管长为L,折射率为
,已知光在真空中的传播速度为c.
(a)通过计算分析光能否从玻璃管的侧面射出;
(b)求出光通过玻璃管所需的时间.
19.(选修模块3—5)(15分)
(1)(本题6分)以下说法正确的是 ( )
A.X射线是处于激发态的原子核辐射出的
B.增加入射光的强度,可以增加光电子的动能
C.放射性元素发生一次β衰变,原子序数增加1
D.当氢原子从n=3的状态跃迁到n=2的状态时,发射出光子,核外电子动能增加
(2)(本题9分)已知氘核的质量为2.0136u,中子质量为1.0087u,
的质量为3.0150u.
(a)写出两个氘核聚变生成氦3的核反应方程;
(b)计算两个氘核聚变所释放出的核能;
(c)若两个氘核以相同的动能Ek=0.35MeV正碰而发生核聚变,同时释放出一对向相反方向运动的光子,每个光子的能量为0.5MeV,试求生成的氦核的动能.
河北省“名校联盟”2015届高三教学质量监测(一)物理试题答案
一.选择题答案:
二.填空题答案:
13.答案:(1)_ B____(2)_0.16_ (3) A (共6分)

>>点击下载完整版 河北名校联盟2015届高三质量监测物理试题及答案