云南高考

3773考试网2016高考云南高考正文

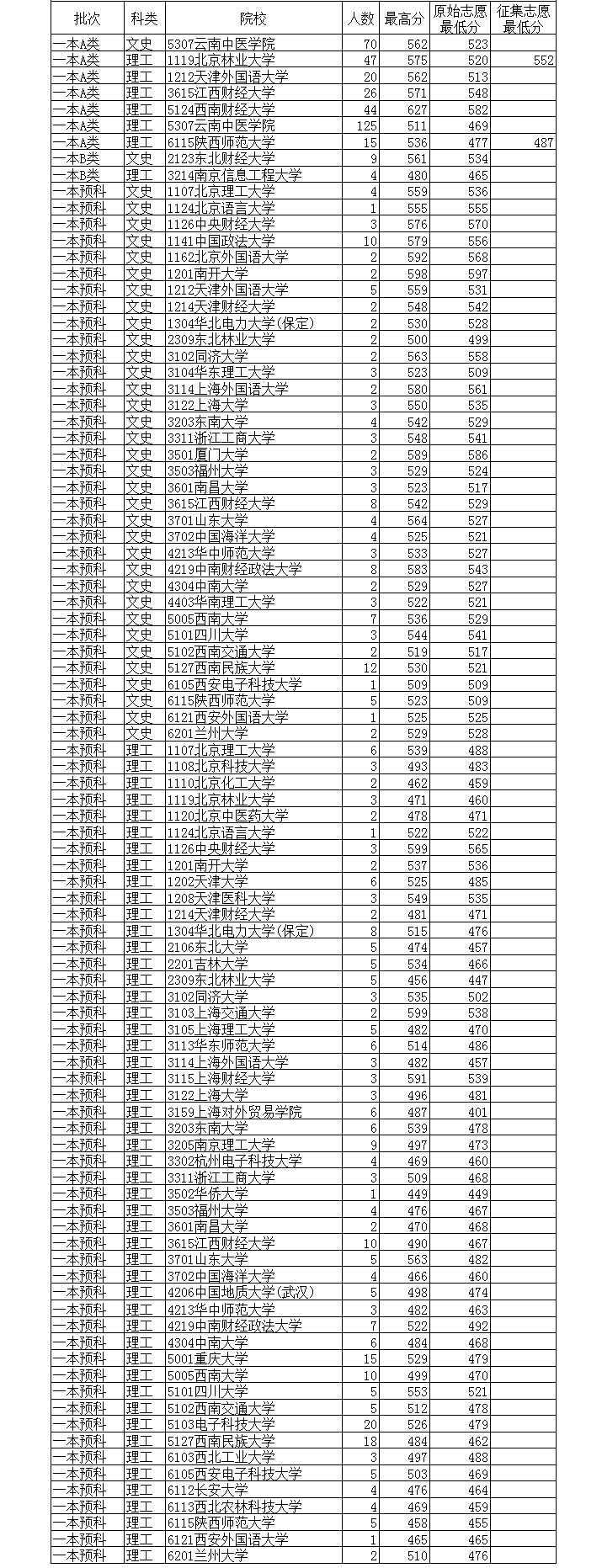
[图文]2012年7月19日云南高考普高录取日报

来源:云南省招生考试院 2012-7-20 9:46:40

2012年7月19日云南高考普高录取日报

触屏版 电脑版
3773考试网 琼ICP备12003406号-1