云南高考

3773考试网2016高考云南高考正文

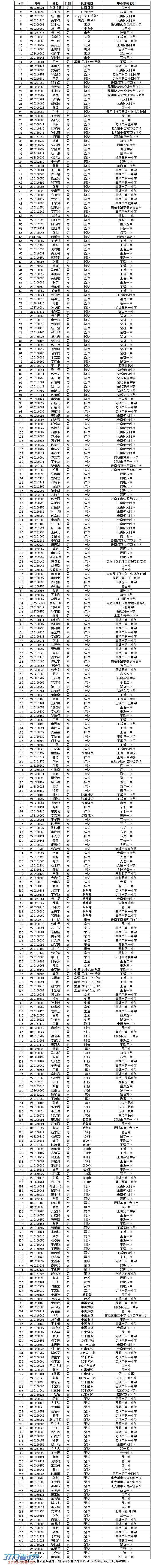
[图文]2013云南高考获得二级运动员证书的考生名单

来源:云南考试院 2013-6-20 19:34:48

云南省二○一三年参加普通高校招生全国统一考试获得二级运动员证书的考生公示名单
 

触屏版 电脑版
3773考试网 琼ICP备12003406号-1