贵州

3773考试网2016高考贵州正文

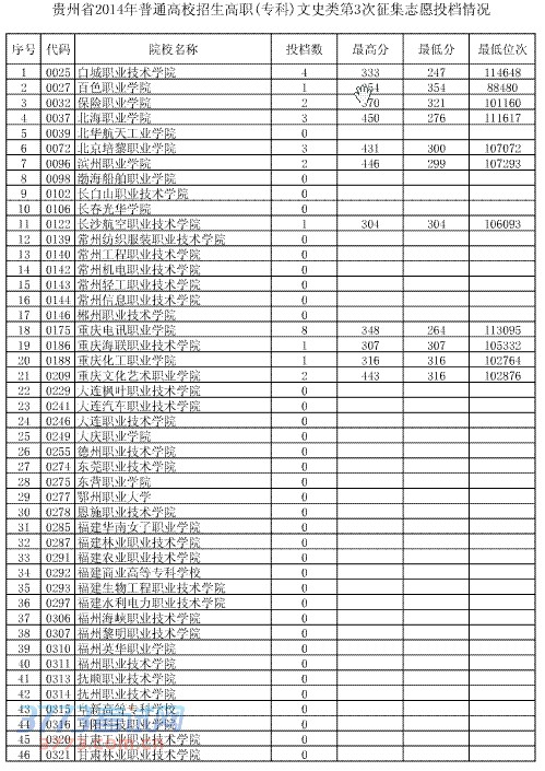
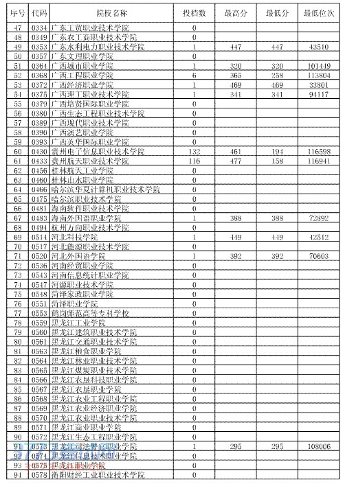
[组图]2014贵州高考专科文史类第3次征集志愿投档分数线

来源:贵州省招生考试院 2014-8-18 20:21:20

高职(专科)文史类第3次征集志愿投档情况

高职(专科)文史类第3次征集志愿投档情况



高职(专科)文史类第3次征集志愿投档情况



高职(专科)文史类第3次征集志愿投档情况

高职(专科)文史类第3次征集志愿投档情况

高职(专科)文史类第3次征集志愿投档情况

高职(专科)文史类第3次征集志愿投档情况

触屏版 电脑版
3773考试网 琼ICP备12003406号-1