贵州

3773考试网2016高考贵州正文

[组图]2014贵州高考专科理科第3次征集志愿投档分数线

来源:贵州省招生考试院 2014-8-18 20:24:19

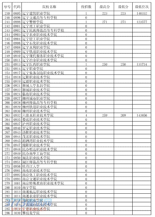
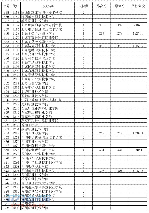
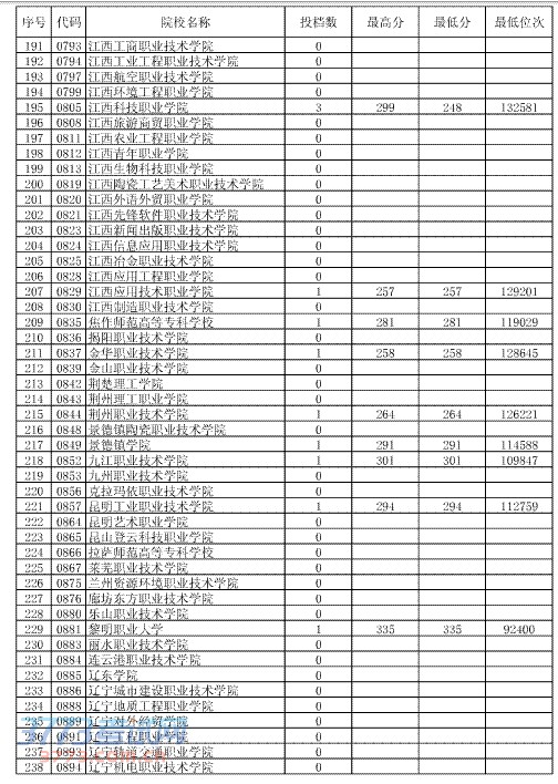
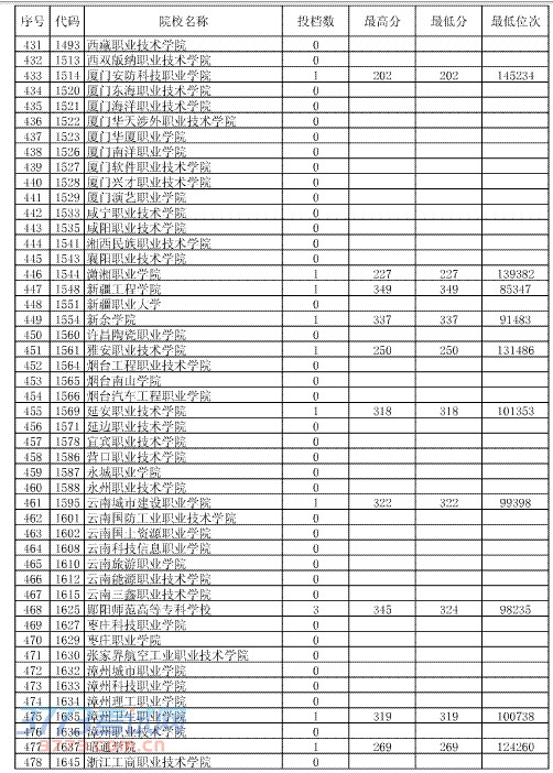
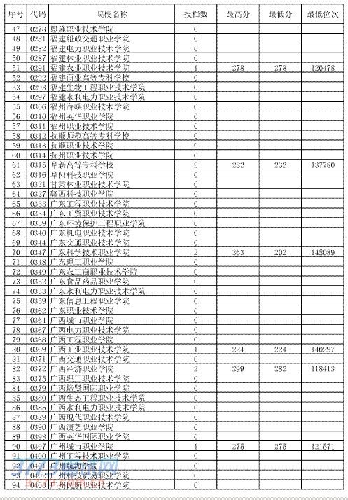
高职(专科)理工类第3次征集志愿投档情况

高职(专科)理工类第3次征集志愿投档情况



高职(专科)理工类第3次征集志愿投档情况







高职(专科)理工类第3次征集志愿投档情况



高职(专科)理工类第3次征集志愿投档情况

高职(专科)理工类第3次征集志愿投档情况

高职(专科)理工类第3次征集志愿投档情况 

触屏版 电脑版
3773考试网 琼ICP备12003406号-1