贵州

3773考试网2016高考贵州正文

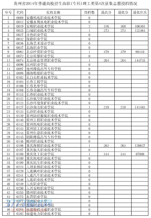
[组图]2014贵州高考专科理科第4次征集志愿投档分数线

来源:贵州考试院 2014-8-19 12:34:48

高职(专科)理工类第4次征集志愿投档情况 2014贵州高考专科理科第4次征集志愿投档分数线

高职(专科)理工类第4次征集志愿投档情况



高职(专科)理工类第4次征集志愿投档情况





高职(专科)理工类第4次征集志愿投档情况

高职(专科)理工类第4次征集志愿投档情况

高职(专科)理工类第4次征集志愿投档情况

高职(专科)理工类第4次征集志愿投档情况

高职(专科)理工类第4次征集志愿投档情况

触屏版 电脑版
3773考试网 琼ICP备12003406号-1