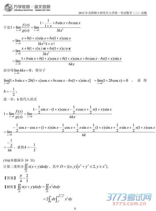
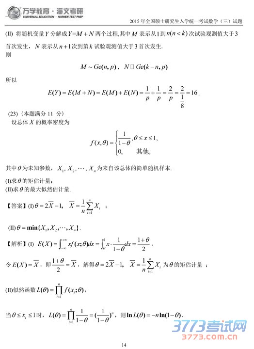
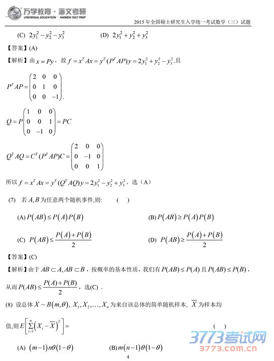
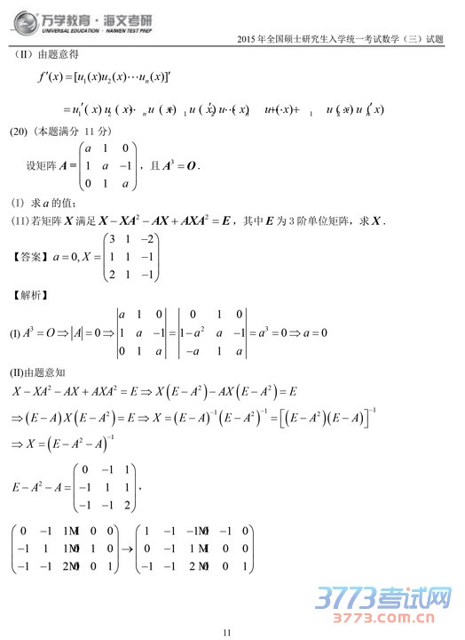
相关文章 2015考研数学农真题及答案解析2015考研数学二试题及答案解析2015考研数学一真题及答案解析2015考研数学一试题及答案及解析完整版2015考研管理类联考初数真题解析之抽签原理2015考研管理类联考初数真题解析之三角不等式2015首都师范大学教育学考研774真题分析2015西南大学专硕333教育基础真题分析2015考研中科院大学应用心理硕士真题分析2015西南大学教育学考研真题解析 触屏版 电脑版 3773考试网 琼ICP备12003406号-1