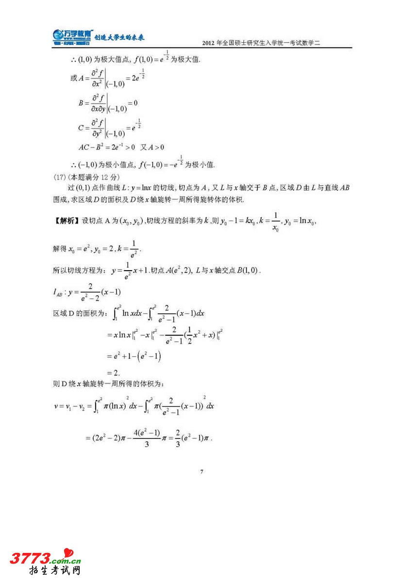
相关文章 2013考研心理学真题及答案解析2013考研教育学真题答案完整版2013考研西医综合真题答案解析(生理学)2013考研农学门类联考生物化学真题答案2013年考研英语一真题答案2013年考研英语二真题答案2013考研英语二写作真题范文2013考研心理学专业基础综合真题2013考研历史学专业基础综合试题2013考研心理学真题及答案 触屏版 电脑版 3773考试网 琼ICP备12003406号-1