成都中考

3773考试网2016中考成都中考正文

[组图]2014成都中考数学试题答案发布

来源:2exam.com 2014-6-16 13:50:16

 

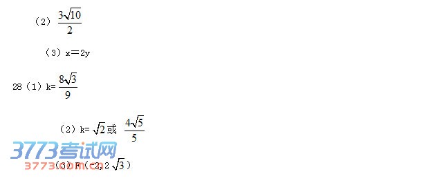
2014成都中考数学试题答案 成都市二O一四年高中阶段教育学校统一招生考试

2014成都中考数学试题答案 成都市二O一四年高中阶段教育学校统一招生考试

2014成都中考数学试题答案 成都市二O一四年高中阶段教育学校统一招生考试

2014成都中考数学试题答案 成都市二O一四年高中阶段教育学校统一招生考试

上一页  [1] [2] [3] [4] 

触屏版 电脑版
3773考试网 琼ICP备12003406号-1