成都中考

3773考试网2016中考成都中考正文

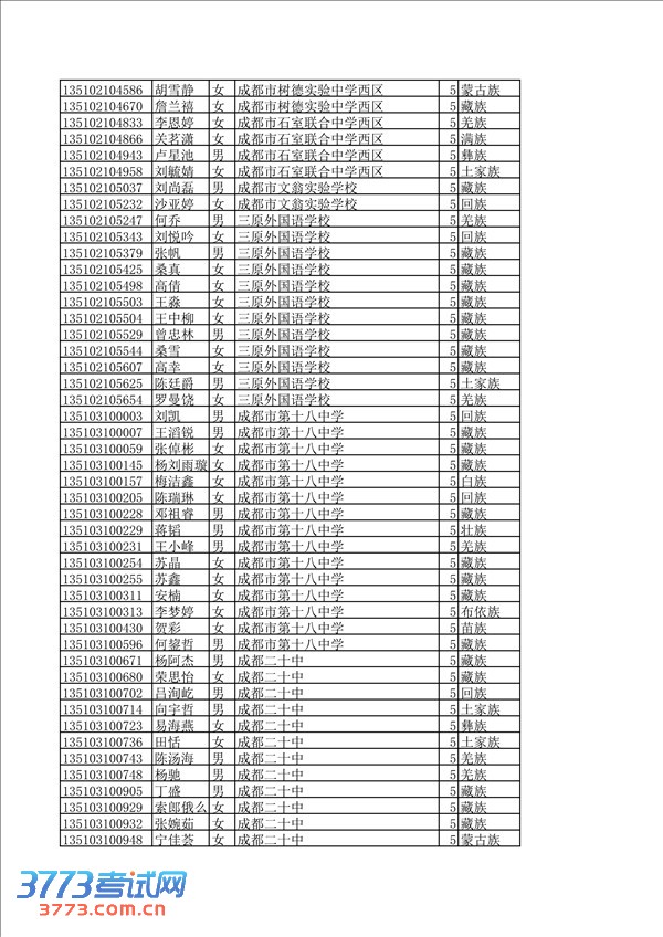
[组图]2013年成都市五城区及高新区中考录取加分考生名单

来源:2exam.com 2013-6-10 9:35:19

新区拟享受普通高中录取加分考生名单已基本确定,军人子女教育优待办法按相关政策执行另行公示。根据规定,当考生符合多项加分条件时,除少数民族考生可以累加一项最高额加分外,其他考生只享受一项最高额加分。

 

现将名单予以公示,请考生和家长核实,并接受社会监督。联系电话:市教育局61881688,市招考办86691516。

触屏版 电脑版
3773考试网 琼ICP备12003406号-1