重庆中考

3773考试网2016中考重庆中考正文

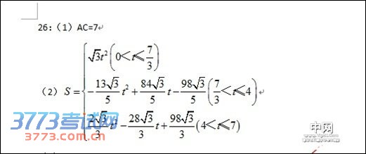
[组图]2014重庆中考数学B卷试题及答案发布

来源:2exam.com 2014-6-18 11:56:44

触屏版 电脑版
3773考试网 琼ICP备12003406号-1