模拟试题答案

3773考试网2016中考模拟试题答案正文

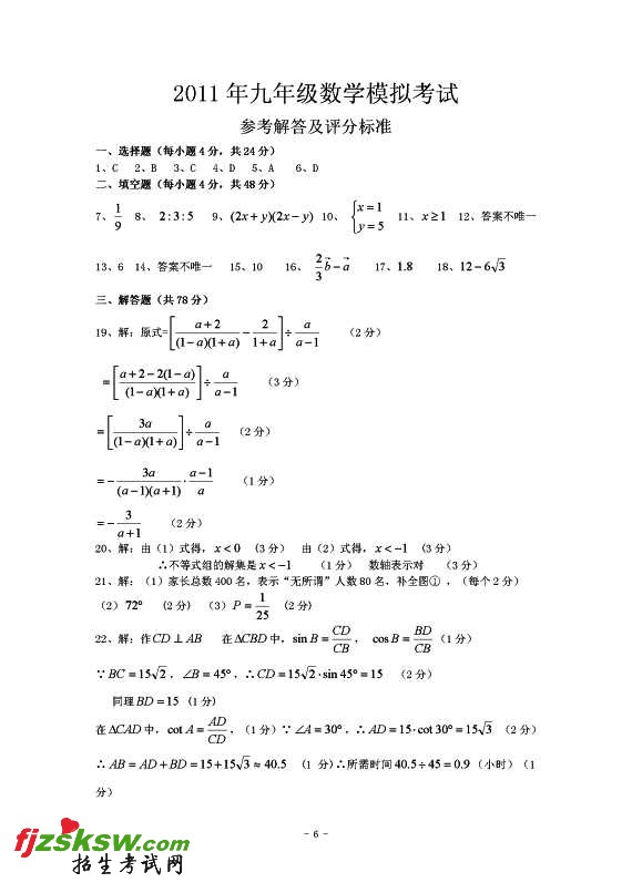
[组图]2011年上海青浦区中考数学模拟试题及答案

来源:fjzsksw.com 2011-5-9 9:24:01


 


上一页  [1] [2] [3] [4] [5] [6] [7] 下一页

触屏版 电脑版
3773考试网 琼ICP备12003406号-1