上海中考

3773考试网2016中考上海中考正文

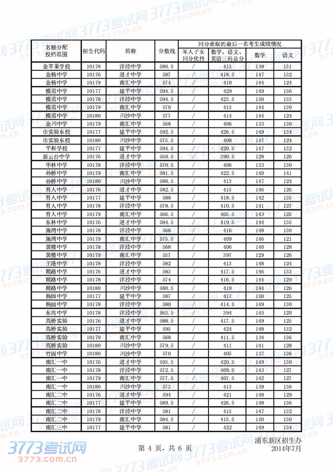
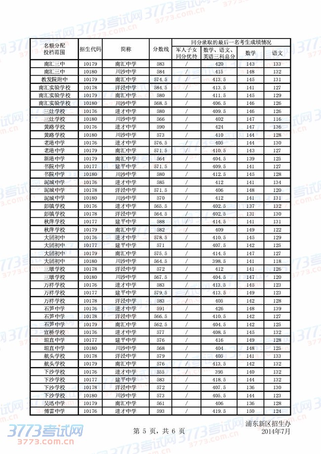
[组图]2014浦东新区中考高中名额分配分校投档分数线

来源:2exam.com 2014-7-19 16:39:29

2014年浦东新区中等学校高中阶段招生高中名额分配分校投档分数线

2014年浦东新区中考高中名额分配分校投档分数线



2014年浦东新区中考高中名额分配分校投档分数线





2014年浦东新区中考高中名额分配分校投档分数线

触屏版 电脑版
3773考试网 琼ICP备12003406号-1