上海中考

3773考试网2016中考上海中考正文

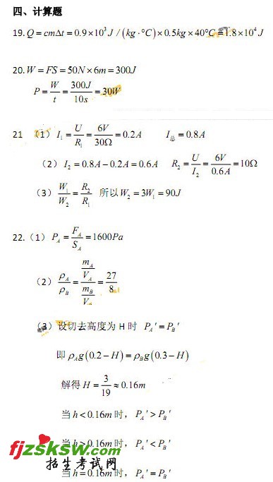
[组图]上海2011中考理化试题及答案

来源:fjzsksw.com 2011-6-28 14:36:27



上一页  [1] [2] [3] [4] [5] [6] [7] [8] [9] 下一页

触屏版 电脑版
3773考试网 琼ICP备12003406号-1