安庆中考

3773考试网2016中考安庆中考正文

[组图]安庆二中碧桂园分校2015年艺术类自主招生预录取名单

来源:3773中考 2015-7-22 14:32:41

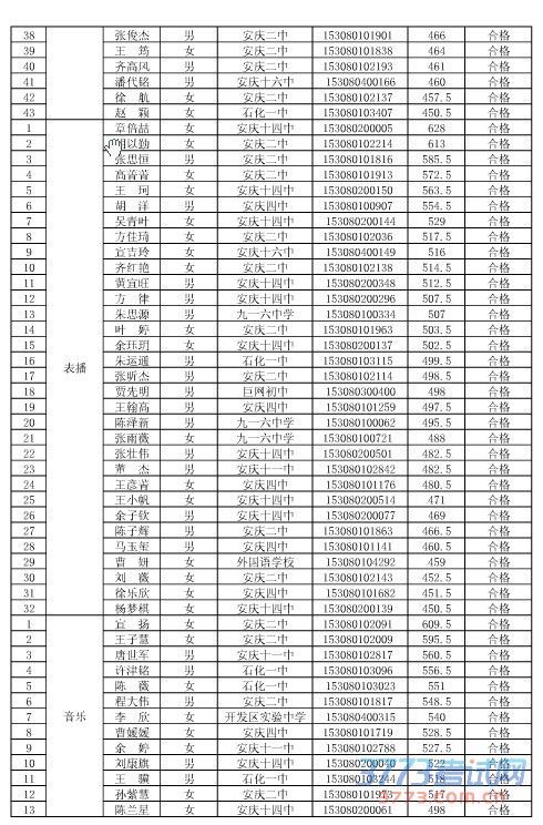
安庆二中碧桂园分校2015年艺术类自主招生预录取名单公示

安庆二中碧桂园分校2015年艺术类自主招生预录取名单公示

安庆二中碧桂园分校2015年艺术类自主招生预录取名单公示

安庆二中碧桂园分校2015年艺术类自主招生预录取名单公示

触屏版 电脑版
3773考试网 琼ICP备12003406号-1