长沙中考

3773考试网2016中考长沙中考正文

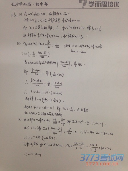
[组图]2015年长沙中考数学试题及答案发布

来源:2exam.com 2015-6-16 15:06:43

 

上一页  [1] [2] [3] [4] 

触屏版 电脑版
3773考试网 琼ICP备12003406号-1