小升初

3773考试网2016中考小升初正文

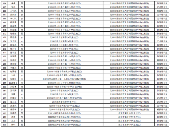
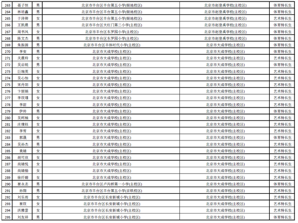
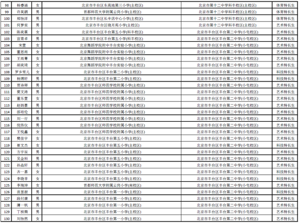
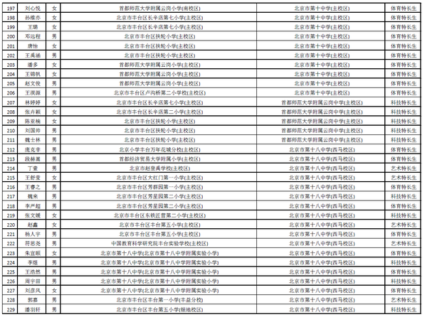
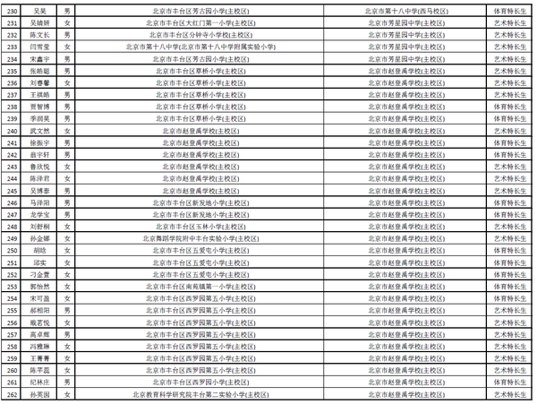
[组图]2015北京丰台区小升初特长生录取名单公示

来源:2exam.com 2015-5-19 19:53:33

丰台区5月18日公布了2015小升初特长生拟录取名单进行公示,共有325名丰台学生通过特长生上岸成功进入自己理想的学校。

  

  

  

  

  

  

  

  

  

  

触屏版 电脑版
3773考试网 琼ICP备12003406号-1