东营中考

3773考试网2016中考东营中考正文

[图文]2014东营普通高中和中职学校招生政策

来源:东营市教育局 2014-3-25 9:43:40

普通高中和中等职业学校招生
   (一)招生计划
   市教育局统一下达全市2014年高中阶段学校招生计划。
    (二)招生范围和对象
    1.普通高中:市教育局所属普通高中学校面向市直、东营区、东营经济技术开发区和济军生产基地实验学校招生;各县区所属普通高中学校面向所在行政区域招生;胜利教育管理中心所属普通高中学校面向所属初中学校招生;独立办学的民办普通高中学校可面向全市招生。
各普通高中学校招生对象为具有招生范围内户籍(或学籍)的初中应届毕业生。非应届初中毕业生不得报考普通高中。
    2.中等职业学校:各职业学校招生范围为全市(含胜利教育管理中心)初、高中应、往届毕业生,五年制高职招收参加初中学生学业考试且达到一定分数要求的应届初中毕业生。
    (三)报名和填报志愿
    1.报名时间
    全市初中学生学业考试及高中阶段学校招生报名时间为4月3日8:30至5日下午5:00,逾期不再办理。
    2.报名地点
    (1)报考各县区、胜利教育管理中心所属高中阶段学校的考生,分别到本县区教育局、胜利教育管理中心指定的报名点报名。
    (2)报考市一中、市二中的考生报名地点:市教育局、东营经济技术开发区所属初中学校和济军生产基地实验学校按照报名时间安排集中到市晨阳学校体育馆一楼大厅报名;东营区所属初中学校集中到东营区教育局指定地点报名,4月8日前东营区教育局将学生报考资料和报名数据库报送市教育局基础教育科。
    (3)第一志愿报考民办学校的考生,到所报考学校报名。4月8日前各民办学校将学生报考资料和报名数据库报送市教育局基础教育科。
    (4)借读考生到户籍所在地报名点报名。其中报考市一中、市二中的借读考生于4月5日到市晨阳学校体育馆一楼大厅报名,工作时间为8:30-17:00。
    (5)报考中等职业学校的考生,按照主管教育部门指定的地点报名。市教育局、东营区、东营经济技术开发区所属初中学校和济军生产基地实验学校考生报考中等职业学校的,在报考普通高中志愿时同时填报中等职业学校志愿。
    3.报名办法
    (1)在学籍所在地报名的初中应届毕业生,以学校为单位集体报名。报名时需提供每位考生的纸质档案资料(考生本人的《东营市初中学生综合素质发展报告书》、《2014年东营市高中阶段学校招生考生志愿表》)、中小学信息技术等级证书原件和复印件,市内转入学生还需提供原就读学校主管教育部门出具的地理、生物学科学业考试成绩(原始分数)证明。
    (2)借读考生持初中学籍档案(由考生学籍所在地县级以上学籍主管部门出具,加盖公章)、综合素质发展报告书(由考生借读学校出具,加盖公章)、户口簿原件和复印件、中小学信息技术等级证书原件和复印件,到户籍所在地报名。在市内借读的考生还需出具原毕业学校主管教育部门出具的地理、生物学科学业考试成绩(原始分数)证明。
    (3)特殊考生须持有关证书(证件)原件和复印件报名。
    (4)音乐、美术、体育特长生持报考学校专业合格证报名。
    (5)集体报名考生信息于报名前由初中学校采用学籍管理系统进行采集。初中学校填写《2014年东营市高中阶段学校招生考生信息汇总表》(附件1),报名时提交主管教育部门进行资格审核。初中学校同时填写《2014年东营市初中学生学业考试未报考学生信息汇总表》(凡是未报考的2014年3月15日在籍的初中应届毕业生,均应统计填报),报名时提交主管教育部门,作为指标分配的依据之一。
    (6)借读考生报名时现场照相并采集报考信息。
    4.填报志愿
    考生报名时同时填报报考志愿。所有考生均需填写《2014年东营市高中阶段学校招生考生志愿表》(附件2),考生志愿分为普通高中志愿和中等职业学校志愿,其中普通高中志愿又分为公办普通高中志愿和民办普通高中志愿。各县区教育局、胜利教育管理中心按此原则确定所属学校考生志愿具体填报办法。
    市教育局、东营区教育局、东营经济技术开发区所属初中学校、济军生产基地实验学校考生公办普通高中志愿可报考市一中和市二中。在《2014年东营市高中阶段学校招生考生志愿表》上,公办普通高中志愿分为第一、第二志愿。报考普通高中的考生第一志愿必须填报,志愿空填的,视为放弃。中等职业学校志愿分为第一、第二志愿,考生可根据各职业学校专业特点自主选择。
    普通中专志愿填报工作由市教育招生考试院负责,具体事宜另文发布。
    5.普通高中报名和志愿填报有关要求
    (1)各报名点要认真勘对考生报考信息,确保考生信息准确无误,坚决杜绝一名考生在两个及以上报名点报名现象的发生。
    (2)市内借读考生需回户籍所在地报考的,考生就读学校及学籍主管教育部门应为其出具综合素质发展报告书、学籍证明和地理、生物学科成绩(原始分数)证明材料。
    主管教育部门填写《2014年东营市高中阶段学校招生回户籍所在地报考考生信息汇总表》(附件3)和《2014年东营市初中学生学业考试未报考学生信息汇总表》(附件4),对出具报名材料的考生去向和未报考考生去向做好登记汇总,并于4月3日前报送市教育局基础教育科,作为集中审查考生报考资格的依据之一。
    (3)特殊考生需填写《2014年东营市高中阶段学校招生特殊考生审批表》(附件5),所需证明材料经审查后,退回原件,保留复印件。借读考生报名时提交《审批表》和证明材料,由主管教育部门组织认定。报名工作结束后,特殊考生名单由主管教育部门在本单位门户网站进行公示,接受社会和考生监督,公示期为5天。
    (4)市教育局基础教育科统一制发考生报名信息采集数据库,下发至各县区教育局、胜利教育管理中心和局属各初中学校、各民办学校。各县区教育局、胜利教育管理中心于4月10日前完成考生信息勘对工作,以刻录光盘的形式将考生报名信息数据库报送市教育局基础教育科,同时根据考生志愿分类别报送纸质《2014年东营市高中阶段学校招生考生信息汇总表》(复印件盖章)。市教育局基础教育科汇总全市考生报考信息、对考生报考资格进行审查后,于4月17日前移交市教育招生考试院。市教育招生考试院于4月22日前完成全市考场编排和准考证发放工作,并将考场编排数据库移交市教育局基础教育科。
    (5)考生信息技术成绩、基础性发展目标评价总评等级和特殊考生加分信息在报名时予以确认。5月15日前,主管教育行政部门完成学生报考信息整理,以学校为单位打印,返回考生所在初中学校,经考生本人签字确认,其他人不得代签。借读考生报名时现场签字确认本人报考信息。
    (6)各初中学校要将《致全市初中学生学业考试考生及家长的一封信》发至每一位考生,并由家长和考生阅读后共同签字确认。该信“回执”由初中学校按照班级收回,留存备查。
    (四)普通高中招生录取分数设定
    总分满分770分。语文、数学、英语满分各120分(英语含听力部分20分);物理、化学、思想品德、历史、地理、生物卷面满分各100分,物理按照卷面得分的70%计入总分,化学、思想品德、历史、地理、生物按照卷面得分的50%计入总分;信息技术、体育与健康、理化生实验操作按等级折算成分值计入总分,其中:信息技术20分(A等20分、B等15分、C等10分,D等5分),体育与健康60分(A等60分、B等56分、C等52分,D等48分),理化生实验操作10分(A等10分、B等8分、C等6分,D等4分)。
    (五)普通高中录取
    普通高中招生录取工作在市教育局的统一领导和组织下,采取统一时间、同一地点集中封闭录取的方式进行。
    市教育局按照全市普通高中招生计划1:1.2的比例确定普通高中普通考生最低录取控制分数线。
    1.公办普通高中录取。录取按照自主招生录取、特长录取、统一录取、指标分配录取、择校录取的顺序进行。
    录取的基本原则是:以考生学业考试成绩为依据,参考考生基础性发展目标评价等级,择优录取。
    录取的基本程序是:主管教育部门依据考生学业考试成绩和报考志愿,按照招生计划1:1.2的比例,向高中学校投档---高中学校依据考生学业考试成绩和基础性发展目标评价等级,按照招生计划等额确定录取学生名单---高中学校向主管教育部门提交录取学生名单(包括录取数据库和纸质名单)---主管教育部门审核高中学校录取名单无误后,报市教育局基础教育科审定---市教育局基础教育科打印考生录取通知书,加盖录取专用章---高中学校向考生发放录取通知书和入学须知,组织学生报到。
    需要考生填报两个及以上公办普通高中志愿的区域,在执行上述录取原则和程序的基础上,其学校第二志愿考生录取办法由主管教育部门确定。
    (1)自主招生录取
   ①自主招生测试:组织自主招生的普通高中学校根据市教育局确定的《2014年普通高中自主招生工作基本原则》、审定的自主招生工作实施方案和下达的自主招生计划组织自主招生测试工作,并于4月2日前将通过自主招生测试考生名单报送主管教育部门和市教育局。
    ②录取:在普通高中集中录取期间,由主管教育部门根据高中学校自主招生测试结果办理录取手续,并报市教育局核准。若自主招生录取不满计划,剩余计划转入普通考生统一录取计划。
    (2)特长录取
    ①专业考试:招收艺体特长生的普通高中学校,制定专业考试实施办法,报主管教育部门审核同意后组织专业考试,并于4月2日前将取得专业合格证的考生名单报主管教育部门备案。
    ②录取:由主管教育部门按照高中学校特长招生计划1:1.2的比例和考生学业考试成绩,分专业向高中学校投档。高中学校依据考生学业考试成绩和基础性发展目标评价等级,按照招生计划等额录取,录取最低分数线不低于本校普通考生最低录取分数线的70%。对报考本校,专业考试成绩在学校本专业招生计划前15%的考生,若学业考试成绩低于本校特长录取分数线,由学校提出申请,可适当降低分数录取,但最低录取分数线不低于本校普通考生最低录取分数线的60%。若特长录取不满计划,剩余计划转入普通考生录取计划。以特长培养为主的普通高中学校,由主管教育部门制定具体录取办法,报市教育局审定后实施。
未在特长录取阶段录取的考生,与报考本校普通考生享有相同的录取待遇。
    (3)统一录取:自主招生录取、特长录取完成后,按照各普通高中学校普通考生(不含自主招生和特长生,下同)统招计划的15%组织统一录取。主管教育部门按照该阶段招生计划1:1.2的比例和考生学业考试成绩,向高中学校投档。高中学校依据考生学业考试成绩和基础性发展目标评价等级,按照招生计划等额录取。
    (4)指标分配录取
    ①指标分配:2014年,将市一中、河口一中、广饶一中、垦利一中、利津一中、利津二中、胜利一中、胜利二中普通考生统招计划的85%分配到招生范围内各初中学校。原则上按照初中毕业生人数和素质教育工作评价得分各占50%权重分配指标。
    按毕业生人数分配指标部分按照初中毕业生人数分配指标。
    按素质教育工作评价得分情况分配指标部分,以初中学校素质教育工作评价、规范化学校等级及办学行为督查情况分配指标。素质教育工作评价得分以850分为基数,总得分每高20分上浮1%,最高上浮7%,每低20分扣减1%。得分情况以市政府教育督导室公布数据为依据。省级规范化学校上浮5%,市级规范化学校上浮2%;存在违规办学行为,上一年度被省教育厅通报处理的初中学校,扣减5%,被市教育局通报处理的,扣减3%,被县级教育部门通报处理的,扣减2%。
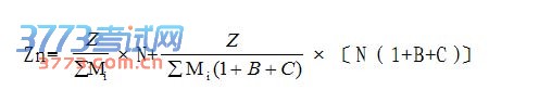
    指标分配公式为:

    其中:Zn是指该初中学校应分得的普通高中招生指标数;
    Z是指普通高中分配到招生范围内初中学校的招生计划总数的50%;
     Mi是指高中学校招生范围内各个初中学校应届毕业生人数;
    B是指初中学校按照素质教育工作评价得分情况需要浮动的比例;
    C是指初中学校按照规范化学校等级和办学行为情况需要浮动的比例;
    N是指该初中学校应届毕业生人数。
    各县区教育局、胜利教育管理中心按照市教育局下达的普通高中招生计划,参照上述分配办法制定具体分配方案,4月底前报市教育局基础教育科备案。凡报名参加初中学生学业考试人数少于2014年3月15日学籍人数的,除流动人口子女回原籍报考(以主管教育部门出具回原籍报考证明材料人数为准)和县级以上教育行政部门集中组织的毕业生分流外,按照减少人数的50%扣减该初中学校分配指标,扣减的招生指标纳入统一录取指标中。
    ②指标生资格认定:指标生须是在学籍学校实际就读一年以上(即2013年3月31日前转入并在校就读)、初中学生基础性发展目标评价毕业总评等级达到B等(含B等)以上、各考查科目成绩达到B等(含B等)以上的考生。
    指标生资格审核工作由主管教育部门负责组织,各初中学校为资格审核责任主体。各学校取得指标生资格考生的名单要具体到每个班级,经班主任、教务主任(或年级组长)、校长签字确认,在校内醒目位置公示,公示期为5天。公示无异议后,填写《2014年普通高中指标招生取得指标生资格学生一览表》(附件6),5月10日前报主管教育部门核定并作为指标录取的依据。主管教育部门在门户网站向社会公告,公开接受群众监督。经主管教育部门核查或群众举报发现存在弄虚作假的,由主管教育部门取消相关考生指标生资格,同时按照有关规定对学校直接责任人给予严肃处理。
    ③录取:主管教育部门以初中学校为单位,按照初中学校指标生分配名额1:1.2的比例,向高中学校投档。高中学校依据考生学业考试成绩和基础性发展目标评价等级,按照各初中学校分配指标和符合指标录取条件学生名单等额录取。高中学校招生范围内各初中学校指标招生录取分数线最高的学校和最低的学校之间的差距不大于40分。
    (5)择校录取
    在自主招生录取、特长录取、统一录取、指标分配录取完成后,进行择校录取。主管教育部门按照该阶段招生计划1:1.2的比例和考生学业考试成绩,向高中学校投档。高中学校依据考生学业考试成绩和基础性发展目标评价等级,按照招生计划等额录取。
    2.民办普通高中录取。民办普通高中录取工作与公办普通高中录取同步进行。录取的基本程序是:市教育局按照各学校招生计划1:1.2的比例和考生志愿向民办普通高中投档,各民办普通高中依据考生学业考试成绩,参考考生基础性发展目标评价等级,按照招生计划等额录取---各民办普通高中向市教育局报送录取学生名单---市教育局审定录取学生名单,打印录取通知书,加盖录取专用章---各民办普通高中向新生发放录取通知书和入学须知,组织学生报到。
    若第一志愿报考民办普通高中的考生数量完不成招生计划时,由市教育局向社会发布信息,各民办普通高中组织考生二次报名,并按照上述原则和程序确定录取学生名单。
    3.市一中和市二中录取办法
    首先完成市一中录取,然后将第一志愿报考市二中的考生总成绩提高20分,按照录取程序和市二中招生计划,与第二志愿报考市二中的市一中落榜考生合并录取。音体美特长生若第一志愿未被录取,则在参与第二志愿录取时以普通考生的身份参加录取。
    (六)中等职业学校录取
报考职业学校的考生,根据考生志愿和学业考试按成绩,按照由高到低的原则,由有关职业学校办理录取手续。考生还须到有关职业学校确认具体专业,领取录取通知书。若考生第一志愿计划满额,根据考生第二志愿按学业考试成绩由高到低录取。
    未被普通高中及第一、二志愿职业学校录取的考生,可持本人成绩单直接到各职业学校办理报名、录取手续。东营职业学院、山东大王职业学院五年制高职,以及东营市中等专业学校、东营市体育运动学校招收的学生,还须由市教育招生考试院办理录取手续。
    (七)普通高中“择校生”比例的确定
    各公办普通高中要严格遵守招生“三限”政策,每个学校招收择校生的比例最高不得超过本校当年招收高中学生计划数(不包括择校生数)的20%。
    (八)普通高中学籍注册
    录取完成后,注册普通高中学籍。学籍注册工作由市教育局按照核发录取通知书的新生名单和考生报考信息,通过山东省基础教育管理信息化平台完成。
    (九)特殊考生加分政策
    具备以下条件之一者为特殊考生。特殊考生在录取时加分,若考生同时具备几项,只选其中一项,不累计加分。
    1.烈士子女考生(须有民政部门签发的《烈士证》或证明)加20分。
    2.因公牺牲军人(含人民警察)子女考生(须有民政或公安部门证明),一级至四级残疾军人(含人民警察)子女考生(须有残疾军人证明)加10分。
    3.归侨子女、华侨子女和台湾省籍考生(须有侨办或台办证明)加10分。
    4.少数民族考生(须有民族事务部门和公安部门证明)加10分。
    5.对东营市户籍、农村自愿放弃二胎生育指标终生只要一个女孩的家庭,其女考生(须有县级人口与计生部门证明)加10分。
    6.军人子女报考普通高中,按照《东营市<军人子女教育优待办法实施细则>》(东政联〔2012〕1号)和《教育部办公厅总政治部干部部关于进一步贯彻实施<军人子女教育优待办法>的通知》(教政法厅〔2013〕1号)有关规定执行。
    特殊考生证书(证件)和资格认定的截止日期为2014年4月5日下午5:00,逾期不再受理。初中学校填写《2014年东营市高中阶段学校招生特殊考生情况汇总表》(附件7),4月5日前集中报主管教育行政部门审核。特殊考生基本信息须经本人签字确认,严禁他人代签。

触屏版 电脑版
3773考试网 琼ICP备12003406号-1