东营中考

3773考试网2016中考东营中考正文

[图文]2014东营中考指标分配录取政策

来源:东营市教育局 2014-3-25 9:49:40

指标分配录取
    ①指标分配:2014年,将市一中、河口一中、广饶一中、垦利一中、利津一中、利津二中、胜利一中、胜利二中普通考生统招计划的85%分配到招生范围内各初中学校。原则上按照初中毕业生人数和素质教育工作评价得分各占50%权重分配指标。
    按毕业生人数分配指标部分按照初中毕业生人数分配指标。
    按素质教育工作评价得分情况分配指标部分,以初中学校素质教育工作评价、规范化学校等级及办学行为督查情况分配指标。素质教育工作评价得分以850分为基数,总得分每高20分上浮1%,最高上浮7%,每低20分扣减1%。得分情况以市政府教育督导室公布数据为依据。省级规范化学校上浮5%,市级规范化学校上浮2%;存在违规办学行为,上一年度被省教育厅通报处理的初中学校,扣减5%,被市教育局通报处理的,扣减3%,被县级教育部门通报处理的,扣减2%。
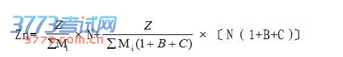
    指标分配公式为:

    其中:Zn是指该初中学校应分得的普通高中招生指标数;
    Z是指普通高中分配到招生范围内初中学校的招生计划总数的50%;
     Mi是指高中学校招生范围内各个初中学校应届毕业生人数;
    B是指初中学校按照素质教育工作评价得分情况需要浮动的比例;
    C是指初中学校按照规范化学校等级和办学行为情况需要浮动的比例;
    N是指该初中学校应届毕业生人数。
    各县区教育局、胜利教育管理中心按照市教育局下达的普通高中招生计划,参照上述分配办法制定具体分配方案,4月底前报市教育局基础教育科备案。凡报名参加初中学生学业考试人数少于2014年3月15日学籍人数的,除流动人口子女回原籍报考(以主管教育部门出具回原籍报考证明材料人数为准)和县级以上教育行政部门集中组织的毕业生分流外,按照减少人数的50%扣减该初中学校分配指标,扣减的招生指标纳入统一录取指标中。
    ②指标生资格认定:指标生须是在学籍学校实际就读一年以上(即2013年3月31日前转入并在校就读)、初中学生基础性发展目标评价毕业总评等级达到B等(含B等)以上、各考查科目成绩达到B等(含B等)以上的考生。
    指标生资格审核工作由主管教育部门负责组织,各初中学校为资格审核责任主体。各学校取得指标生资格考生的名单要具体到每个班级,经班主任、教务主任(或年级组长)、校长签字确认,在校内醒目位置公示,公示期为5天。公示无异议后,填写《2014年普通高中指标招生取得指标生资格学生一览表》(附件6),5月10日前报主管教育部门核定并作为指标录取的依据。主管教育部门在门户网站向社会公告,公开接受群众监督。经主管教育部门核查或群众举报发现存在弄虚作假的,由主管教育部门取消相关考生指标生资格,同时按照有关规定对学校直接责任人给予严肃处理。
    ③录取:主管教育部门以初中学校为单位,按照初中学校指标生分配名额1:1.2的比例,向高中学校投档。高中学校依据考生学业考试成绩和基础性发展目标评价等级,按照各初中学校分配指标和符合指标录取条件学生名单等额录取。高中学校招生范围内各初中学校指标招生录取分数线最高的学校和最低的学校之间的差距不大于40分。
    (5)择校录取
    在自主招生录取、特长录取、统一录取、指标分配录取完成后,进行择校录取。主管教育部门按照该阶段招生计划1:1.2的比例和考生学业考试成绩,向高中学校投档。高中学校依据考生学业考试成绩和基础性发展目标评价等级,按照招生计划等额录取。

触屏版 电脑版
3773考试网 琼ICP备12003406号-1