济南中考

3773考试网2016中考济南中考正文

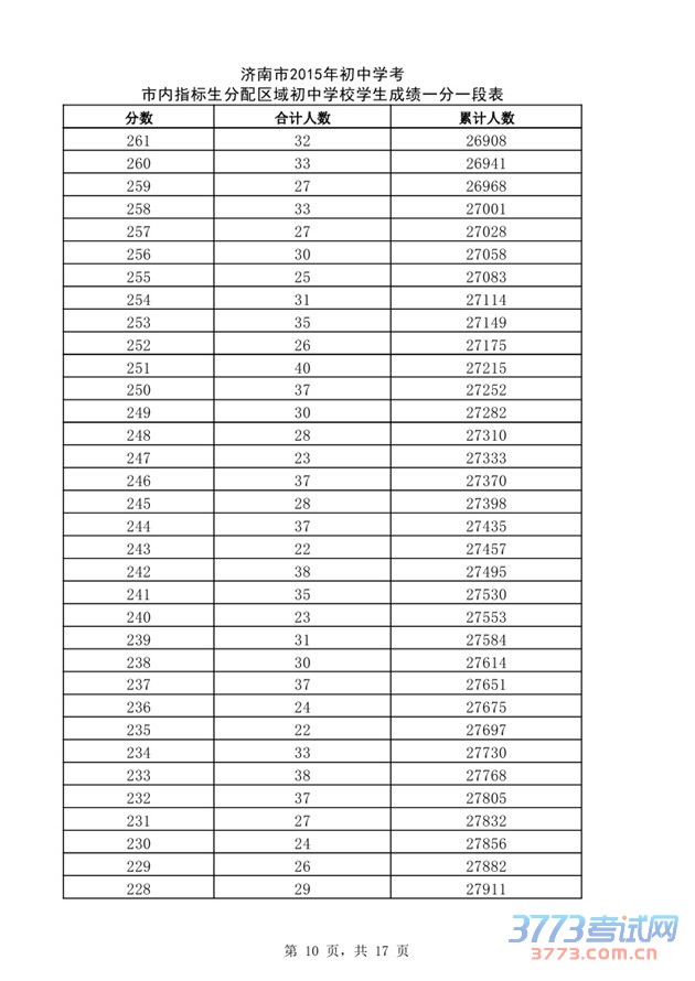
[组图]2015济南中考指标生学生成绩一分一段表

来源:济南市教育局 2015-7-2 11:49:26





济南市2015年初中学考市内指标生分配区域初中学校学生成绩一分一段表

上一页  [1] [2] [3] [4] [5] 下一页

触屏版 电脑版
3773考试网 琼ICP备12003406号-1