济南中考

3773考试网2016中考济南中考正文

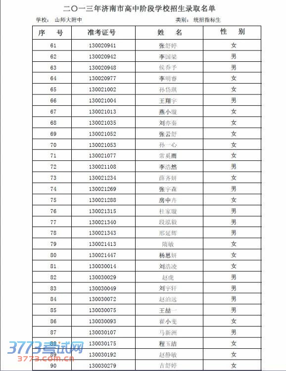
[组图]2013山东师范大学附属中学录取名单查询

来源:2exam.com 2013-7-12 10:59:07

\
\
\
\
\
\
\
\
\
\
\
\
\
\
\
\
\
\
\
\
\
\

触屏版 电脑版
3773考试网 琼ICP备12003406号-1